浅谈强度与伤害的关系
2021/01/251252 浏览攻略
1.强度的伤害系数推导

设 q=我方强度-对方防御,伤害系数为α=f(q),由图:
f(0)=1, f(150)=2, f(375)=3, f(675)=4, f(1050)=5
f并不容易得到,设 g(α)=q,观察发现,x为大于2的正整数时,g(x)-g(x-1)=75x 。
将其推广至x>0的实数域内,于是有g(x)=37.5(x^2+x+C),其中C为任意常数,
代入g(1)=0,C=-2,于是g(x)=37.5(x^2+x-2)
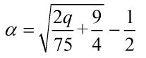
经推导,f(x)=sqrt(x/37.5+2.25)-0.5,也就是说:

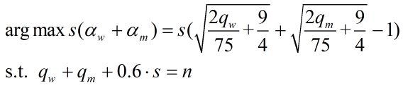
2.强度和伤害的搭配比例

即:

解释下这个0.6咋来的,就小伙伴装备而言,强度的易得性是伤害的0.6倍
显然最优时两个q应该相等,不妨就令它们都为q,即:

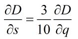
在上述的约束条件下,显然:

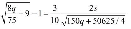
即:

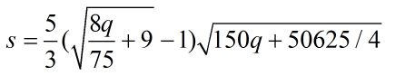
所以:

这玩意没法化简了,注意这里的q是 己方物理强度-对方物理防御=己方魔法强度-对方魔法防御 时的 己方强度-对方防御。

它的图像非常非常接近于线性。但是不是线性,不信可以泰勒展开:

作为粗略结论,可以认为 s=6.5 q,没错这结论就是如此朴实无华且枯燥。
就这样,没有考虑的东西非常非常多,比如暴击、技能、穿透等等,权且当个参考。


