100层以上秘境护甲测试
精华修改于2020/05/121.1 万浏览攻略发布区
先直接上结论:
护甲=40×层数-1500
比如100层2500护甲,150层4500护甲,200层6500护甲
注意:此公式仅限秘境100层以上。严格意义上测试到了160层都没有太大偏差,误差可能有小几十。应该可以外推到160层之后,毕竟ch应该不会无聊到改了护甲的增长速率吧。那么可以列举下关键层数的数据:
100层:2540
140层:4140
150层:4540
160层:4940
200层推测:6540
P.S. 为了数字好看把1460改成1450也没什么关系~
![[嗒啦啦2_吃瓜]](https://img.tapimg.com/market/images/6eb1d083dff1c09692102cb5a98727f3.gif)
![[嗒啦啦2_吃瓜]](https://img.tapimg.com/market/images/6eb1d083dff1c09692102cb5a98727f3.gif)
![[嗒啦啦2_吃瓜]](https://img.tapimg.com/market/images/6eb1d083dff1c09692102cb5a98727f3.gif)
下面解释下比较麻烦的测试过程:
首先测试打桩时普攻最高伤害,并记录护甲穿透值。
打木桩伤害:4366
穿透2798
然后依次进各层的秘境,用普通攻击打一段时间小怪,录下视频。通过逐帧慢放,肉眼分辨出最高伤害值。大概30秒就够了,注意不要带元素戒指、宝石鞋等影响测试效率的装备。
当然不需要每层都进,可以跳着来。
(测试数据均为水打火)
层数 最高伤害 实际护甲(=计算护甲+穿透)
109:6136 2899
120:4806 3344
130:4026 3741
140:3459 4142
145:3230 4344
147:3149 4423
150:3033 4542
151:2988 4591
152:2956 4627
153:2924 4663
155:2856 4744
156:2823 4784
158:2758 4867
160:2700 4943
这里的伤害需要除以1.5,因为是克制的。
最后分析规律:
这个是数学的东西,懂的自然懂,不懂的也不需要懂~
承伤占比=秘境最高伤害/打桩最高伤害
(我这里要先将秘境最高伤害除以1.5)
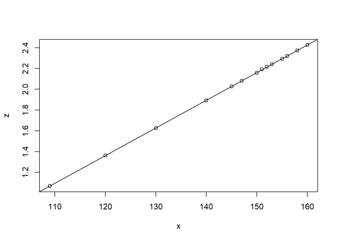
z=1/承伤占比,与秘境层数是线性关系,如下图:

另一方面,1/z=承伤占比=1505/(实际护甲-穿透+1505)
这个1505是之前冰灵雨泣大佬测试的,实际上这个公式只是近似,不过误差非常小,我后来测试了对于几千护甲来说1505这个“常数”波动在10以内吧。
这是当初测试护甲公式的帖子:
那么把拟合结果和上面的公式结合起来,就完工了!
![[嗒啦啦2_吃瓜]](https://img.tapimg.com/market/images/6eb1d083dff1c09692102cb5a98727f3.gif)
![[嗒啦啦2_吃瓜]](https://img.tapimg.com/market/images/6eb1d083dff1c09692102cb5a98727f3.gif)
![[嗒啦啦2_吃瓜]](https://img.tapimg.com/market/images/6eb1d083dff1c09692102cb5a98727f3.gif)
我的其他数据贴传送:
【数据向】护盾伤害计算公式和魔界岛护甲测试
魔界岛119层和99层小符文掉落统计结果:
裂隙层数与boss血量统计:

