【第二期】4412名玩家首测资格名单公布!

亲爱的各位HERO:
首款虚幻4沙盒竞技手游——《救赎之地》即将在本月底进行第一波限号测试,由于产品开发周期时间并不长,很多功能都还不完善,希望通过本次测试让玩家体验一下我们独特的战斗系统,以验证其可行性及稳定性。另:经过项目组技术中心认真筛选,第二期一共产出4412个精英测试资格。首测前我们会视情况复活一部分玩家,复活名单将和第三期测试资格名单一起公布。我们还在持续优化方案,争取让更多的 玩家能够参与到本次测试中来,欢迎大家关注后续官方动向。
欢迎加入救赎之地精英测试群①:797528018
(本次只是公布测试资格名单,每个中奖tap账号id对应一个激活码,测试激活码最终统一发放时间:游戏开测前3-7天以TapTap站内信的形式发放。)
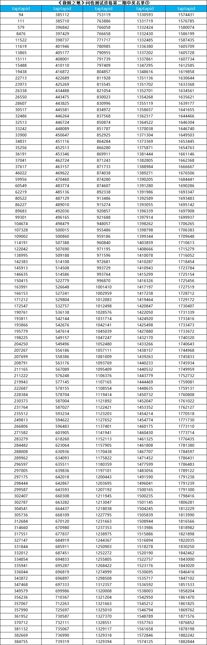
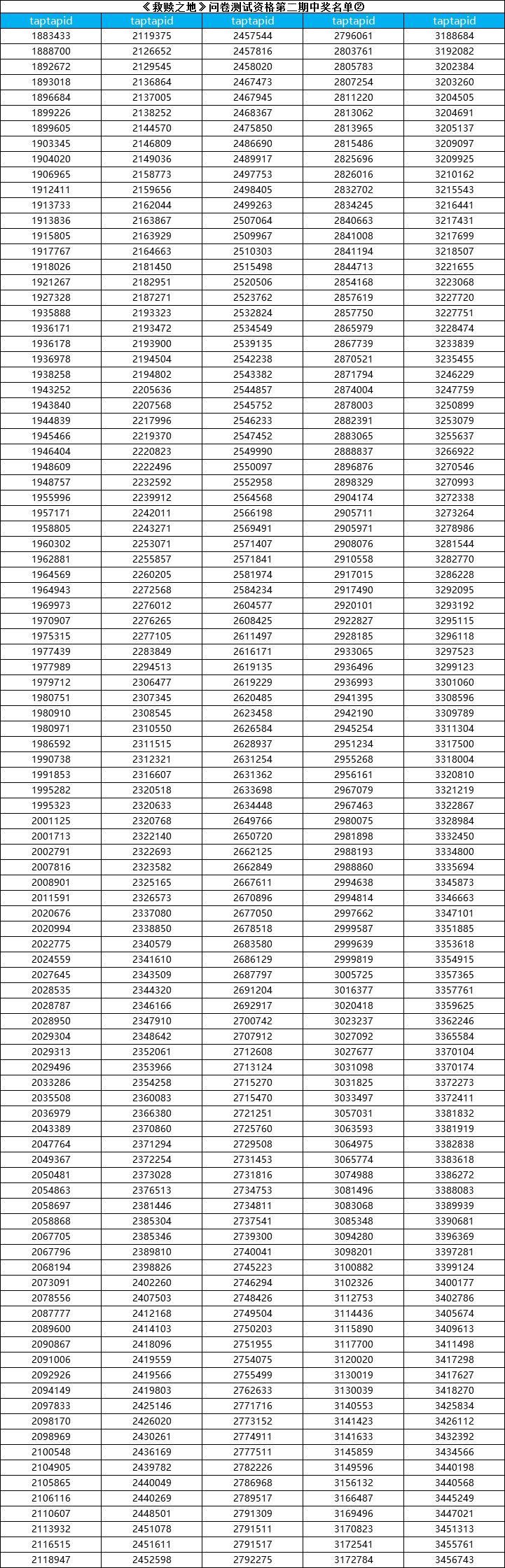
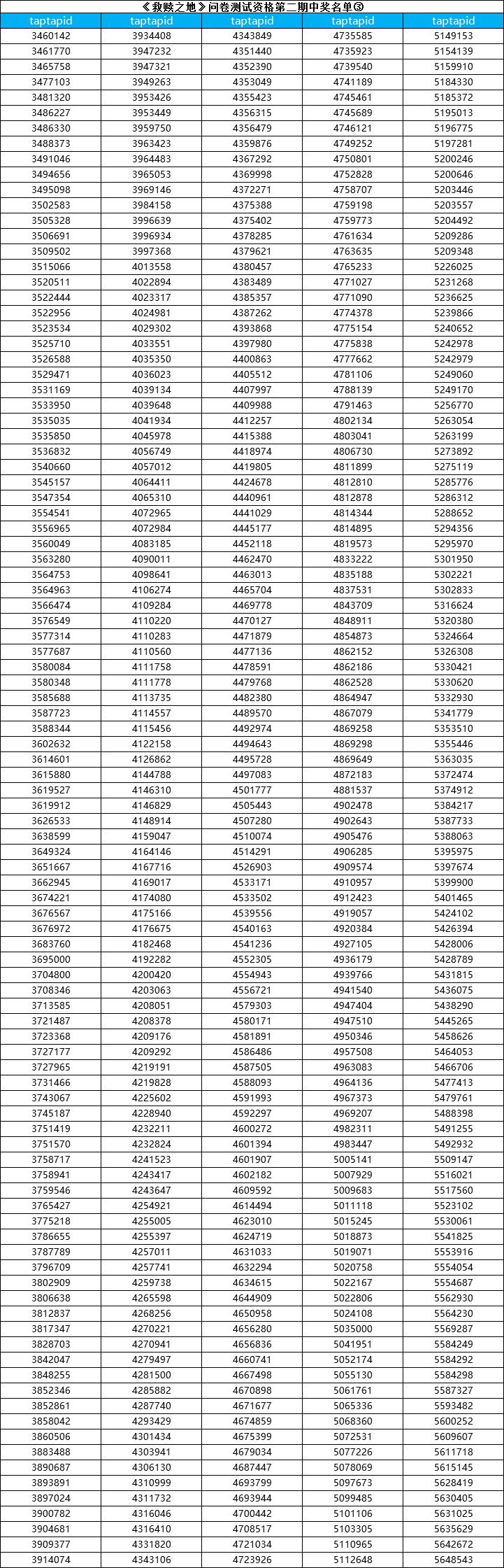
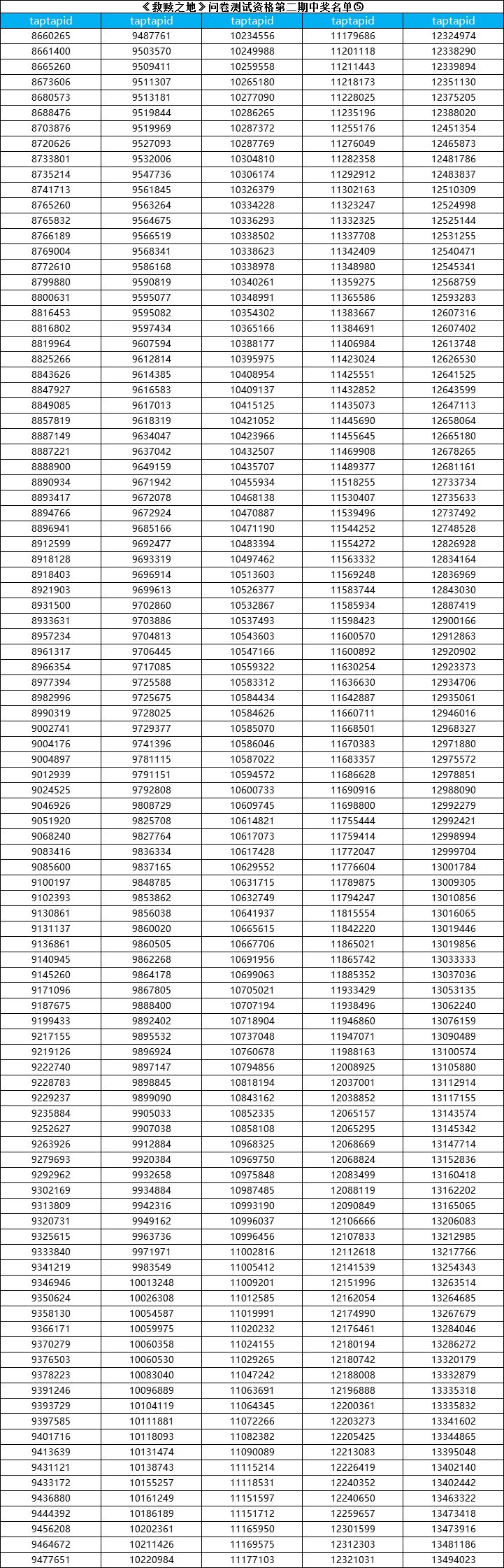
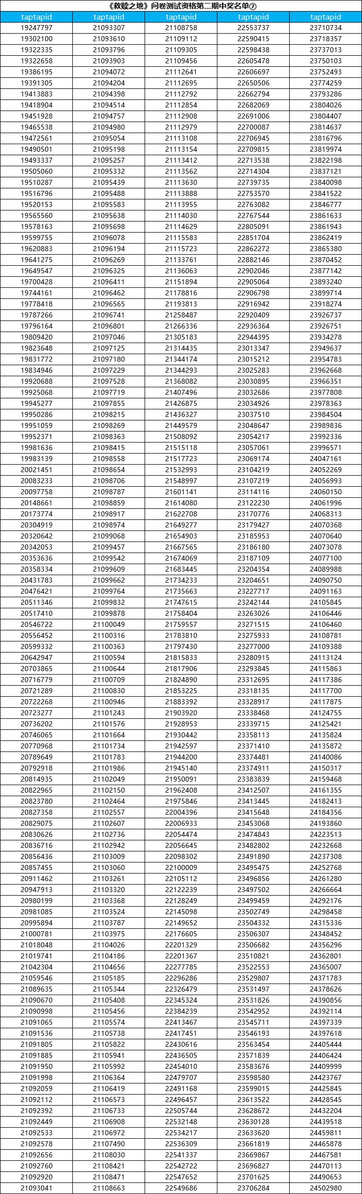
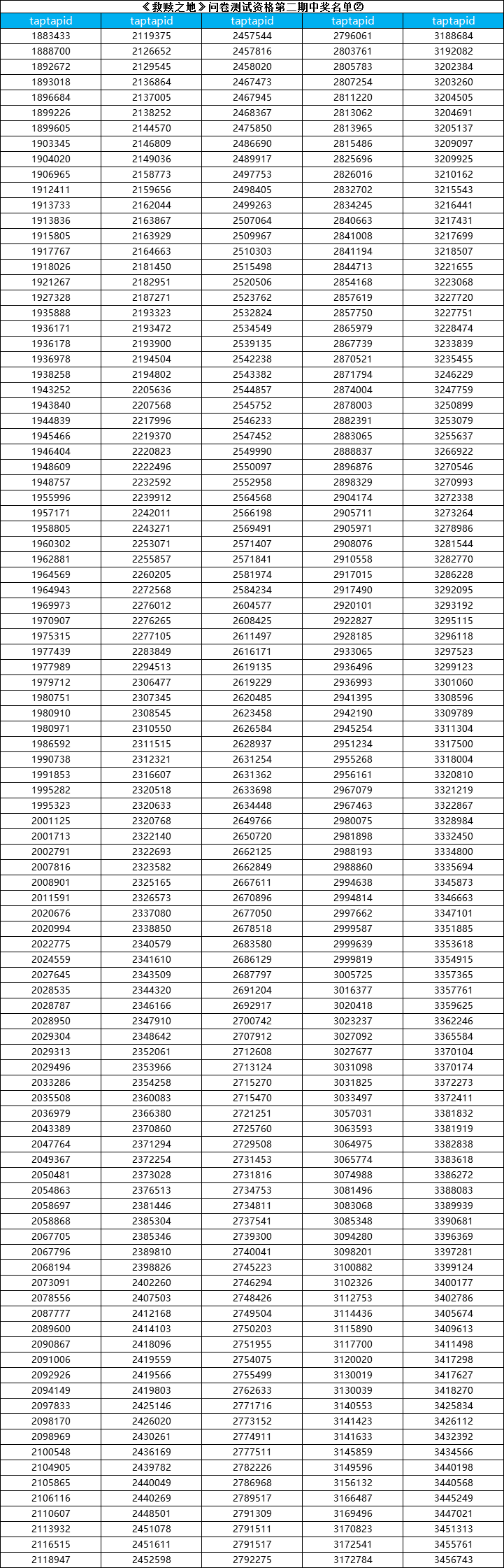
①【问卷活动】第二期3530名测试资格名单公布如下:







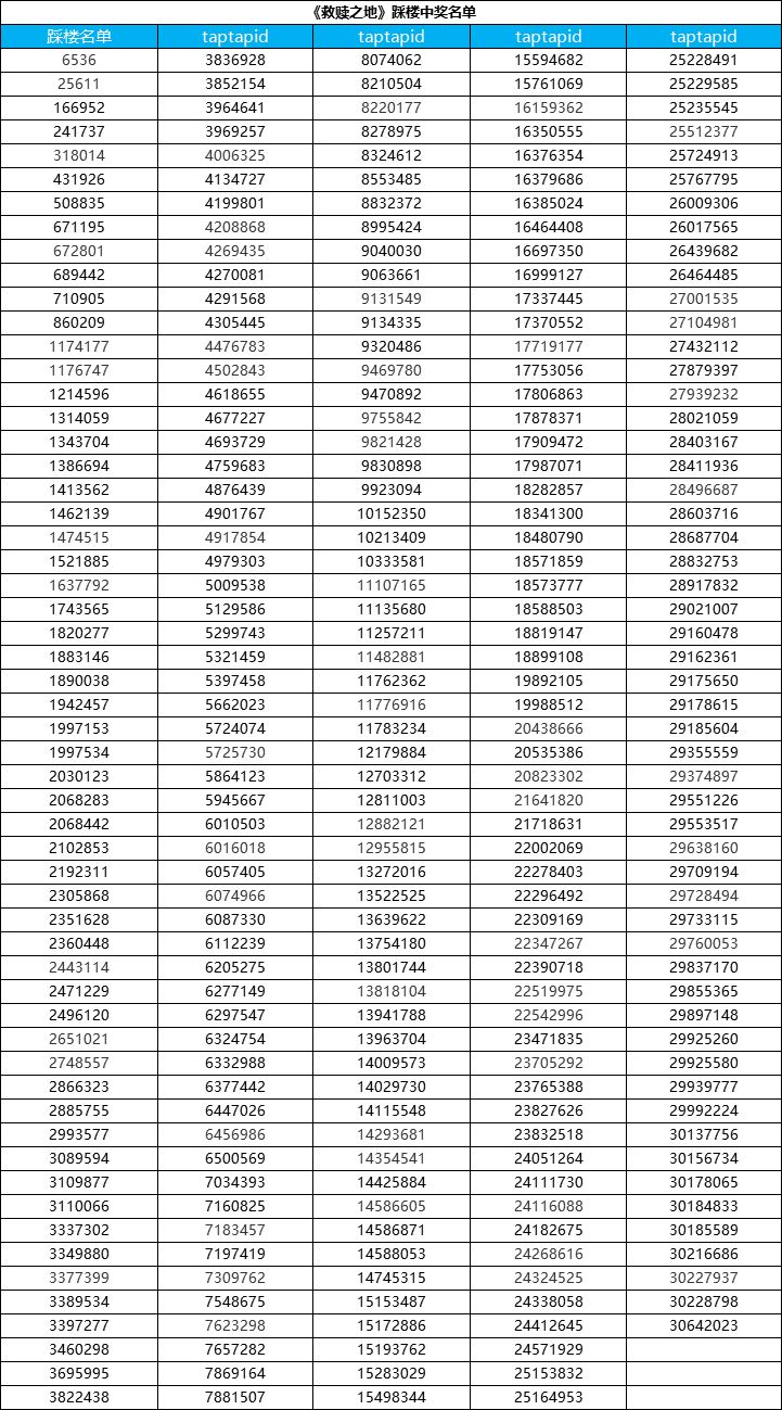
②【活动名单】踩楼活动玩家中奖名单公布如下:

③【问卷活动】第一期首轮精英玩家测试资格600名复活名单如下:

【联系我们】
如果您喜欢我们,欢迎随时给我们评价、留言。
救赎之地精英测试群①:797528018
救赎之地精英测试群②:17874318 (已满)
救赎之地精英测试群③:925631284
微信公众号:救赎之地手游
抖音号:救赎之地
#相关阅读推荐:

