分享一个关于护甲和伤害的计算公式
2017/07/278114 浏览综合
首先,第一点要说明的地方:受到伤害和护甲并不是固定比例换算的,没有护甲+多少,伤害-多少这样的固定关系,它是一个凹曲线函数。
第二,我们最终得到的伤害值,是取整数后的结果。比如按照官方的公式,最后我们会受到6.35的伤害,可能取整以后,实际受到伤害就是6点。所以无论玩家怎么测试,都无法得到最准确的官方公式,只能根据它取整数后的数据,进行拟合,看看哪个公式和我们得到的结果最接近。
如果没明白,请看图:

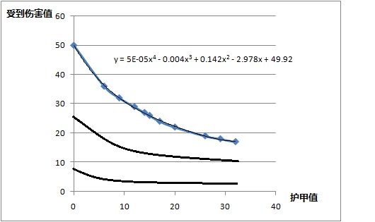
每一个怪都有一个伤害—护甲曲线,这里是我用the big one(大块头)进行测试得到的数据,裸装伤害50,最高护甲斯沃特套装受到伤害为17。
进行拟合之后,发现多项式函数的曲形和我们得到的数据最接近,拟合后公示如图中所示。
根据常理,最后的常数项应该是+50而不是+49.92,因为裸装伤害是50。但这只是一个近似的曲线,相对于整体来说误差是最小的。
那么同理推测,其他怪物的伤害—护甲曲线应该是这样的

这两条新加上的曲线并不是来源于数据,而是我顺手画上去的,就是为了描述一个趋势而已。
可以看出伤害—护甲曲线的特点,就是护甲越低的时候,护甲的收效越大,就是说增加同样护甲,所削弱的伤害越多。护甲很高的时候,其实再堆护甲,收效已经不是很好了。
大概意思就是,日常刷图打小怪,打个一二级地图,没必要穿的很高档,军装都不用穿。因为高护甲装备所需要的材料更奢侈,而减伤效率并没有低护甲的装备高。我15的护甲,可以减免24点伤害,平均1点护甲减伤1.6,而32护甲减伤33,平均1点护甲减免1.03伤害。
所以除非即将面对非常激烈的战斗,比如刷军事基地,或者三级图,或者要干大块头,否则没必要穿高级护甲。


