首页
排行榜
发现
动态
云游戏
PC 游戏
论坛
创作者中心
开发者中心
TapTap 制造
聚光灯 GameJam
发布
下载手机 APP
扫码下载
Android APK 下载
版本:v
App Store 下载
版本:v
下载 PC 版
Windows 版下载
版本:v
下载 TapTap
TapTap 手机 APP
扫码下载手机App
Android APK 下载
版本:v
App Store 下载
版本:v
TapTap PC 版
Windows 客户端下载
版本:v
墨三国
关注
墨三国
关注
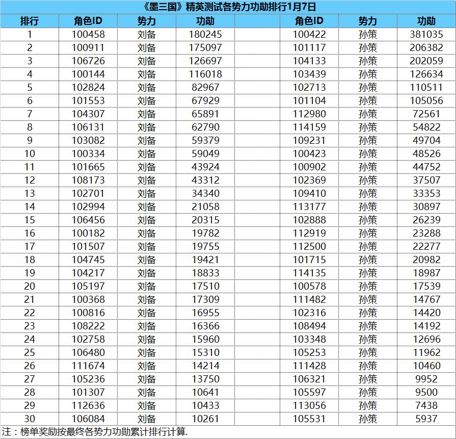
《墨三国》精英测试国战功勋排行榜
墨三国
精华
修改于
2018/01/07
626 浏览
综合
为方便大家查看功勋榜单,精英测试期间每日功勋榜单将在该帖下上传.
游戏百科:国战
1. 参与国战可获得请酒令,武将邀请函,酒,元宝,贡献,声望等丰厚奖励.第一名额外获得讨伐令,有资格向其它城池发起国战!
2. 拥有讨伐令的玩家,可开启国战,国战只能在相邻的敌对城池才能开启,需满足讨伐的兵力和粮草要求。为保证测试期间玩法体验,若势力在凌晨仍旧未开启国战,官方将开启次日国战.
6