实际面板,战斗面板以及值与概率的转化
精华修改于2020/05/161 万浏览攻略
先简单地说一下结论,以下以暴击值和坚韧值为例。
1.额外加的概率不在人物属性面板显示。(如皇骑被动,人物特性仁慈一类的),武器的命中率,盾牌的格挡率会显示在人物面板。
2.存在广义上的等级压制(严格来讲不存在)
3.由于坚韧结算在前,负的速度会抵消坚韧值。速度负值修正在此之后(若为负则修正为0),坚韧为负也将被修正为0。
重中之重
4.推导出暴击计算公式
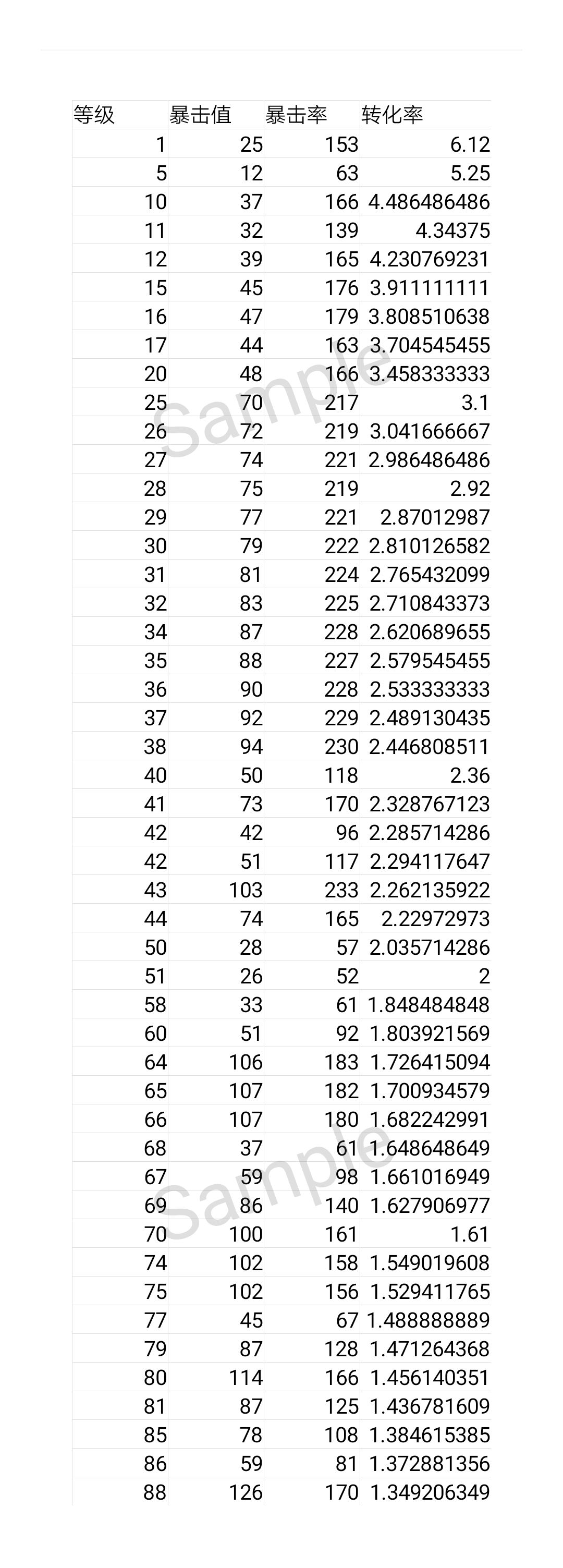
实际面板暴击率=(攻击方暴击值-防御方坚韧值)×防御方等级暴击系数(暴击率为负时会被修正为0)
等级坚韧系数毫无用处。
等级暴击系数由等级决定。
大体如下
50级2.04 60级1.80
65级1.70 70级1.61
75级1.53 80级1.46
85级1.39
面对85级敌人时格挡值转化率 0.5187
招架值转化率1.739
命中值转化率1.7325
暴击值转化率1.3885
(就是说防御方是50级时,攻击方1点暴击值会转化为2.04暴击概率,60级时转化为1.80,依次类推)
重要事情说三遍,上面就是所有结论。主要是第4点的暴击计算公式。
________________________________________________________________一般玩家看到这里就可以了。想深入了解请继续___________
____________________________________________________
________________________________________________________________一般玩家看到这里就可以了。对游戏机制或者测定过程感兴趣请继续___________
____________________________________________________
________________________________________________________________一般玩家看到这里就可以了。能用e体e力玩屠戮重骑的智慧请继续___________
____________________________________________________
额外加的概率不显示在人物属性面板上。
首先是收集数据

原本皇骑的数据与其他职业是分开的,但后面发现面板没有区别,就也整合到一起了。

们对数据进行筛选


得到这两张数据表,其实坚韧筛不筛都差不多。
然后我代入公式进行验算

吻合实际。
等级对值转化率的影响(并非严格意义上的等级压制)
科普性一下(其实我也不太懂)

最早引入等级进入损伤的应该是FF6。
而后面才是出现了真正意义上的等级压制。主要体现为由双方等级作为判定。例如当x>2y时敌方将无法闪避。(x为攻击方等级,y为防御方等级)。
回归正题,诸神皇冠的这些转化率和等级的关系是什么呢?
在实际战斗中会体现在战斗面板上,由防御方等级决定进攻方的命中和暴击等级系数。这样下的判定与等级差事实上是没有关系的,对实际暴击率影响的是双方的属性,和防御方的等级,也就是说等级越高,抗爆率和偏斜率就变相越高(使对方暴击率和命中率降低),而攻击方等级在攻击时没有任何效果。假设一个单位在60级时能刚好100%暴击另一个单位,那么这个单位1级时如果拥有同样属性的话也是100%暴击另一个单位。
假想敌与人物属性面板
每个单位都有一个假想敌:假想敌等级与原单位等级相同。但六维为0。
人物属性面板所显示的正是该人物对抗假象敌时的效果。例如一单位(无暴击属性加成)等级42,暴击值42人物属性面板显示暴击率98%,代表含义即是该单位攻击42级0坚韧单位(无抗爆属性加成)暴击率为98%。
等级暴击系数与等级坚韧系数的具体值

坚韧转化率与等级

暴击转化率与等级
上面两张是多项式的。实际上应该是一个对数函数。
暴击等级系数

坚韧等级系数

两者是同源关系。
_________________________________________________________________________________________至此,论证完毕____________________________________________________
特别感谢TapTap用户68630867


