伤害是什么——属性的积累,概率的叠加
精华修改于2020/06/223772 浏览综合
作者:十三
一、前言
这是一篇介绍角色面板上的各类属性的帖子,主要是希望大家能理解各类属性的含义,更主要的是知道如何选择属性搭配以打出更高的伤害。
这篇文章也许对一些玩游戏只图个快乐的人确实是没什么帮助的,反而惹人生厌,内容枯燥,味同鸡肋。但从个人角度出发,可能我希望的就是玩家们可以玩得更清楚明白吧。(其实也有大佬提出要求,那就顺势而为呗)
我知道已经有人做过类似的攻略了,但是古语云,食不厌精,脍不厌细。也许这里有和别人不一样的东西,大家自然辩证着看。我也欢迎大家和我一同讨论。话不多说,进入正文。
二、属性意义(有了解的朋友可以直接跳过,这部分读起来伤神伤心)

1、基础属性:
战斗力:客观的综合评估角色全方面能力的值。较为笼统,但确实是各大车队、公会观察的优先依据,由角色其他所有属性决定。
2、核心属性:
(1)力量:100:1比例加成伤害,表示一部分造成伤害的能力,药仙对角色的攻击加成享受角色自身的力量加成。来源于巅峰等级、部分铭文、法器能源等级与外壳收集加成、装备的基本属性、强化等级、部分炼器属性、部分异人的星级加成与好感度加成,以上这些直接加成在角色面板上。还有部分炁灵的特性属性也提供力量加成(不加成在面板)。

(2)体质:100:1比例加成生命,表示一部分承受伤害的能力,加成后的结果直接显示在角色面板上。来源于巅峰等级、部分铭文、法器能源等级与外壳收集加成、部分炁灵的基本属性、部分装备的基本属性、部分炼器属性、部分异人的星级加成与好感度加成,以上这些直接加成在角色面板上。

(3)攻击:造成伤害的基础属性值,表示一部分造成伤害的能力。角色自身有固定的攻击力数值,其他来源于巅峰等级、铭文、法器能源等级与外壳收集加成、炁灵的基本属性、部分装备的基本属性、精炼等级、部分炼器属性、部分异人的星级加成与好感度加成,以上这些直接加成在角色面板上。还有部分炁灵的特性属性也提供攻击加成(不加成在面板)。

(4)生命:角色血量的基础属性值,表示在不死亡的情况下可承受最多的伤害,受体质比例加成。来源于巅峰等级、铭文、法器能源等级与外壳收集加成、部分炁灵的基本属性、部分装备的基本属性、精炼等级、部分炼器属性、部分异人的星级加成与好感度加成,以上这些直接加成在角色面板上。还有部分装备的特殊属性也提供力量加成(不加成在面板)。

3、主要属性:
(1)暴击强度(暴击率):100:1比例增加暴击率,表示角色造成暴击伤害的概率。角色自身有5%暴击率以及战备被动技能增加的暴击率(战备12级增加9.6%)。来源于部分铭文、部分时装属性、强化等级、部分炼器属性,以上这些直接加成在角色面板上。还有部分装备的特殊属性也提供暴击强度加成(不加成在面板)。

(2)暴伤强度(暴伤率):100:1比例增加角色暴击时的额外伤害,表示角色造成暴击伤害时增加伤害多少的能力。角色自身有100%的暴伤率。来源于部分铭文、强化等级、部分炼器属性、公会科技等级,以上这些直接加成在角色面板上。还有部分装备的特殊属性也提供暴伤强度加成(不加成在面板)。

(3)精准(精准率):100:1比例增加角色精准率,表示角色造成伤害避免被抵挡的能力。来源于部分铭文、部分炼器属性,以上这些直接加成在角色面板上。还有部分装备的特殊属性也提供精准加成(不加成在面板)。

(4)属性强度:100:1比例加成对应属性伤害(共六种),表示一部分造成伤害的能力。来源于部分铭文、部分炼器属性、公会科技等级,以上这些直接加成在角色面板上。还有部分装备的特殊属性也提供属性强度加成(不加成在面板)。

(5)伤害强度:100:1比例加成伤害,表示一部分造成伤害的能力。来源于公会科技等级,直接加成在角色面板上。还有部分装备的特殊属性也提供属性强度加成(不加成在面板)。

(6)攻击强度:100:1比例加成伤害,表示一部分造成伤害的能力,对于非奶系职业来说,概念等同于伤害强度。来源于公会科技等级,直接加成在角色面板上。还有部分装备的特殊属性也提供属性强度加成(不加成在面板)。
(7)伤害倍增率:比例加成伤害,表示一部分造成伤害的能力,与其他属性有区别的是,每条伤害倍增率属性之间为乘算,这涉及到收益问题,我们后文再讲。来源于部分时装属性、异人总星级加成,直接加成在角色面板上。

(8)普攻增强率:仅比例加成普通攻击伤害,表示一部分造成伤害的能力。来源于部分装备的特性属性,直接加成在角色面板上。

(9)抵挡(抵挡率):100:1比例加成抵挡率,表示受到伤害时减免部分伤害的概率。来源于部分铭文、部分炼器属性,直接加成在角色面板上。
(10)防护(防护率):类对数级增加防护率,表示抵挡受到伤害时减免所受伤害多少的能力,角色自身带有50%的防护率。来源于部分铭文,直接加成在角色面板上。

(11)韧性(韧性率):100:1比例增加韧性率,表示受到暴击伤害时减免所受额外伤害多少的能力。来源于部分铭文、部分炼器属性,直接加成在角色面板上。
(12)属性抗性:100:1比例减免所受对应属性伤害(共六种),表示一部分承受伤害的能力。来源于部分铭文、部分炼器属性,直接加成在角色面板上。
4、特殊属性
(1)经验加成:比例加成战斗结算时获得的经验。来源于QQ游戏中心启动(不加成在面板)。

(2)主城加速:比例加成角色在城镇中的移动速度,来源于部分时装属性,直接加成在角色面板上。

(3)银币加成:比例加成战斗结算时获得的银币。来源于巅峰等级,直接加成在角色面板上。
(4)其他:如,技能等级,移动速度,冷却时间等等,这些属性直接或间接地提升了角色能力,较为复杂,暂且不表。
三、伤害计算(这里开始算是正文(`・ω・´),测试了一周的结论如下)
当不考虑所有额外因素时,这时的纯计算伤害(我们称为基础伤害)与各类属性的关系如下:
基础伤害=攻击×(1+力量/10000)×(1+伤害强度/10000)×(1+攻击强度/10000)×(1+伤害倍增率)
当我们使用一个技能呢?
技能伤害=基础伤害×(1+技能对应属性强度/10000)×(1-敌人对应属性抗性/10000)×专精被动技能提升×战备被动技能提升×技能百分比
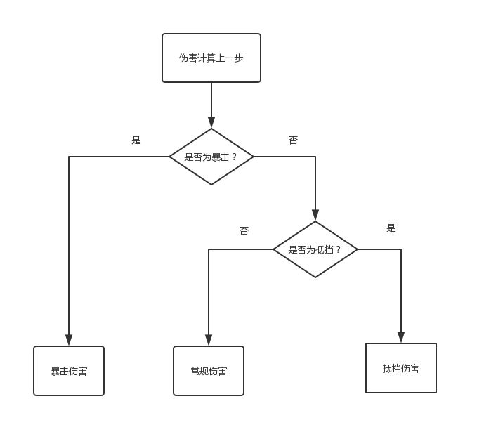
如果这个技能每段伤害都暴击了的话,
暴击伤害=技能伤害+技能伤害×(暴伤率-敌人韧性率)
同理,如果伤害被抵挡,
抵挡伤害=技能伤害×(1-敌人防护率)
看懂了上面的式子你会发现很多有意思的事情,比如,暴伤率只增加额外伤害,属性抗性到了10000可以免疫全部伤害,等等等等,不一一而论。
如果看了上面的式子觉得难以理解也没关系,我们接下来再来捋顺一遍:
假设我使用了一个技能,它的百分比面板为100%,然后代入攻击;假设我只有2000点攻击,我们将它代入式子;
2000×100%=2000,这是最初的伤害;
接着是力量,假设我的力量是5000,那么我现在就有了
2000×(1+5000/10000)=3000的伤害了,同理,
我们又分别有了500点伤害强度,1000点攻击强度,以及1500点的对应属性强度,那么伤害变成了:
3000×(1+500/10000)×(1+1000/10000)×(1+1500/10000)≈3985
接下来,我们有了10%的伤害倍增率,10%的专精被动技能提升,以及20%的战备被动技能提升,
3985×(1+10%)×(1+10%)×(1+20%)≈5786
这时我们已经可以对空气造成5786点伤害了,可是别忘了敌人也有属性,
那我们就假设敌人的对应属性抗性是2000,则伤害变为:
5786×(1-2000/10000)≈4629,伤害降低了(还好属抗只有2000),
而这,就是我们使用这次技能造成的常规伤害的最终结果。
继续往下,由于人品爆发,我们造成的是一次暴击伤害,

这里假设我的暴伤强度是2000(即暴伤率为120%),敌人的韧性是1000(韧性率为10%),那我们这次的暴击伤害就是:
4629+4629×(120%-10%)≈9721,爆表了
同理,如果非酋光环发动,此次伤害非但没有暴击反而被抵挡了,

我们接着假设,敌人的防护率是60%(一般情况是50%),
4629×(1-60%)≈1852,伤害可怜。
如何避免这种情况呢?我们可以提高我们的精准率(为什么是可以不是必须下面讲到)。
假设我有1000点精准,敌人有3000点抵挡,那么我们的造成伤害被抵挡的概率就为
(3000-1000)/10000×100%=20%
可是由于伤害计算流程的问题,实际的抵挡率要比20%低,原因即是我们将提到的暴击率。
那么如果我有25%暴击率,那……这就是造成暴击伤害的概率。
但是我要提到,判断伤害是否暴击or抵挡的方式是:先判断是否暴击,后判断是否抵挡,也就是说,

我们有25%的概率暴击,当未暴击时,才开始以20%的概率判断是否抵挡,这就导致了,我们实际造成伤害被抵挡的概率为:
(1-25%)×20%=15%,显而易见,是比计算得出的抵挡率低的。变相来说,提高暴击率,也可以提高精准率。(……可怜的精准属性,再一次被暴击强度的光芒掩盖了)
这里对暴击or抵挡伤害的计算方法有疑问的朋友可以翻回去看一看属性意义以及上面的计算公式了。
最后的最后,加上一条伤害波动的概念,对实际伤害影响不大,只是为了增加真实性而设置的:伤害随机性。意义是,在造成伤害时,实际伤害大概在计算伤害±1%左右的范围内随机取值,所以实际结果会与计算值存在微小的差距,或高或低,不可避免。
好,以上这些,就是关于伤害计算的全流程,我尽量给大家描述得浅显易懂一点,所以显得有些冗长,请大家见谅。
见谅过后,我们谈下一块内容:
四、属性的提升与选择
1、我们先来做一道选择题:摆在你面前的是几条属性,你可以从中选择两条来提升你自己的伤害,选择时可以重复:①100点力量;②100点暴伤强度;③100点攻击强度;④100点伤害强度;⑤100点全属性强度,你会如何选择?
这道题没有标准答案,但我们可以做出部分筛选。没有选择①的同学们已经及格了,原因是这5条虽然数值相等,但是角色自身的力量对比其他属性来看实在是太高了,这100点力量的提升微乎其微。
而②也不在候选之列,原因如上文所示,他的实际提升受到暴击率很大影响。简言之,如果暴击率为0的话,暴伤强度是不提升任何伤害的。
标准答案是,我们只需要在③④⑤中选出自己最低的两条属性即可。
2、我们选择两条相同的属性会怎么样?来看一个例子:
假设我的伤害为100,在其他初始条件均为0的情况下,如果我有了1000点伤害强度和1000点攻击强度,那么我的伤害提升为:
100×(1+1000/10000)×(1+1000/10000)=121,实际提升为21%
如果我把1000点攻击强度也换成1000点伤害强度,那么伤害提升变为:
100×(1+2000/10000)=120,实际提升为20%
而这少了的1%,就是我们要讲的【边际效应】,也叫做收益率递减。

(图片来源于百度百科)
当然我们不用明白它的意义,只要知道是怎么回事就行了,我再用一个例子复述一遍上面这句话:
假设我有100点基础伤害以及1000点伤害强度,我现在的伤害为:
100×(1+1000/10000)=110
现在我通过某种方式,获得了1000点攻击强度,那这条属性对我的提升为:
{[100×(1+1000/10000)×(1+1000/10000)]-110}/110=10%
如果我把它也换成1000点伤害强度呢,
{100×[1+(1000+1000)/10000]-110}/110≈9.1%(←加算方式)
提升只有9%左右。这就是收益递减的含义。而我们得到的结论就是:
如果其他标准相同,优先选取自身属性值较低的一条。
而这也就得出了,为什么伤害倍增率是非常优秀的一类属性,因为每条伤害倍增率之间不是如同上面的“加算”一般,而是“乘算”,即每条伤害倍增率的数值是多少,提升就是多少,不存在递减问题。
五、用处不大的总结
密密麻麻一页公式,总结起来就一句话:打造提升时,我们要均衡、全面的分配属性,而不是努力去堆同一条属性,这样提升才会更大。这就是我们在选取属性时的基本原则。
这类的攻略很难写(说是攻略整篇内容更像是一个结论吧),难在有些东西如果你不去问,去咨询官方的人各类概念,自己很难得到如此详细的数据。好比说直到现在,我也没办法得出普通攻击的标准数据,这不是我能力不够。好比两个方程三个未知数,只能把未知量暂且搁置,如果以后有了进展我也会补上的
文末,给大家分享一个辛辛苦苦数小时整理的计算提升率的表格(其实也是做这篇攻略的附加产物),有一定实用性,如果发现错误我会及时改正的。链接如下:
文件分享
https://share.weiyun.com/ytbSPWJU

密码:wuming


