像素星舰-船员与房间的关系-在天愿作比翼鸟在地愿为连理枝
2022/02/28890 浏览攻略
如有像素星舰有关的问题
欢迎加入龙联盟Q群929709603询问
申请请备注来自Tap Tap

同学们想必都遇到过类似的情况,“我和对战方的房间等级几乎没有差别,为何对方的火力如此的强,防御能力如此的强呢”这是因为对方的房间和船员属性利用率更高,从而能更快的加载弹药,更快的加载护盾,更有效地躲避导弹。在本文中希望能够从游戏数据公式入手,给同学们带来更有效例用属性的建议。在讨论公式之前首先要梳理房间属性和船员属性的关系。每个房间都有其自己的属性,属性可以在房间的面板信息中查看,如果有船员以某个房间为目标且到达此房间,则船员个人面板中的相关属性可以加快该房间的加载速度。属性和加载速度的关系如下:
一、加载公式所有加载类型的房间(包括武器房间,护盾,机器人,雷达,隐身等,几乎包含所有房间)加载速度都遵循以下这个公式:

其中T是实际加载时间,X是房间原本加载时间,Y为该房间加载船员相关属性的总和。在此,笔者举两个例子:
1.一个拥有50武器值和一个拥有40武器值的船员进入9级离子炮,离子炮满电,则X=4.125s Y=(50+40)

则该离子炮的实际加载时间为2.17s
2.一个拥有40科技值和一个拥有30科技值的船员进入14级护盾室,护盾室满电,则X=6s Y=(40+30)

则该护盾室的实际加载时间为3.53s
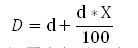
二、躲避公式只有引擎使用躲避公式,躲避公式为:

其中D是实际躲避几率,d是引擎房间原本躲避几率,X为该房间加载船员相关属性的总和。在此,笔者举一个例子:
一个拥有30工程值和一个拥有50工程值的船员进入10级引擎,另一个10级引擎没有人船员,两个引擎满电,则d=0.23 X=80

则实际舰船躲避导弹的几率为0.644
结论
游戏中各项资源需相互例用才能达到保护自身船体血量,消耗对方船体血量的目的。要实现此目的,下述几点需要读者注意:
1、有效的使用每一格电力,不浪费电力。
2、按照电力的分配正确且最大化利用船员的属性加强舰船的攻击、防御能力。
3、有效的使用护盾血量和房间血量来保护船体血量。是为防御能力。
4、迅速消耗护盾血量和房间血量来有效伤害对方船体血量。是为攻击能力。
防御能力十分依赖维修人员,维修人员是否能尽可能在火力中生存,是否能快速恢复房间血量,是否能跨越船体空间快速前往受损房间都是决定舰船防御能力的关键因素。这些内容更多涉及到维修链的设计。房间属性和船员属性的加载收益是一个函数曲线,如下图所示:

加载房间的船员属性收益图随着房间内船员属性的增加,房间加载时间减少的速率开始变小,换句话说,即收益开始降低。一味地将高属性船员放入加载类型房间会导致船员属性的浪费。因此玩家需要在分配船员任务时掌握一个平衡,平衡加快房间加载速度和船员属性收益的降低。以笔者的经验来看,需要首先明确自己的进攻或防守重点房间,常见进攻重点房间如离子炮,镭射炮,加农炮;这些房间需要有高武器属性的船员去加快加载,利用率最高的方式往往是将船员平均分配在这些房间。除去最大化利用房间和船员属性,玩家同样需要了解各个房间的特色及它们在进攻和防守中适合扮演的角色。才能更有效的利用房间,利用船员去压制别人。
以上内容对PVP对战胜利起着至关重要的作用,如果同学们想进一步了解,讨论,随时欢迎前来QQ群与各位大佬一起讨论。


