【想不想修真】白天极限挑战,晚上挑战极限之时间管理大师养成计划刷图篇
精华修改于2020/07/221.6 万浏览玩家攻略
【群英会】--穹
修真四万余年,小有心得。
本帖作为下一篇的前置帖子,但也具备独立性,故单独码出。
(本帖适用范围仅限真绝及以上,肝帝及以上)

本文需特别明确,不涉及任何辅助,什么red finger,rabbit,the Moon等什么的均不涉及
本文是一篇真正的肝帝向文章,从凌晨0:05开始出窍,一个多小时起床一次刷完出窍部分,然后十个人轮班倒,用实实在在的用手刷图刷完白天的17小时,最后十点半出窍九十几轮下线
本肝帝每天只睡从晚十点半到凌晨0:04的九十余分钟,并对任何投机取巧,任何想要用什么red finger,rabbit,the Moon等,本楼主予以严重谴责以及严正抗议!!!
白天极限挑战,晚上挑战极限之时间管理大师养成计划339篇(改天写,先插眼)
本帖大量图片,流量党请自重,土豪随意
目 录
1 刷图时间安排
1.1 刷图分配计算
1.2 刷图逆向计算
2 刷图地图安排
2.1 过云罗前
2.2 过云罗后
3 刷图路线
3.1 白虎天(寒冰地狱,血魔界)
3.2 大焚天
4 杂谈
············一条不成熟的分割线············
1 刷图时间安排
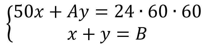
首先,我们从一个二元一次方程入手

其中
x→出窍轮次
y→手刷轮次
A→手刷单图时间
B→总出窍次数
50→单轮元婴出窍时间(是的没有养魂仙丹不配)
1.1 刷图分配计算
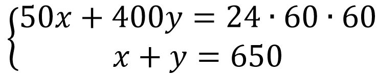
好的,这样有些抽象,我们带入一些具体的数值,就以我目前的一组参数为例
手刷单图时间A=400S,
总出窍次数B=650,
即

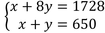
一式约分后减二式



好了,小学生计算浪费的篇幅太多了,后边上干货
由上文,我个人将刷图初步分配为400+160+96
我想看到这个,有的人开始迷惑了,想吐槽我眼睛不好使,懂的人跳过1.2部分。
1.2 刷图逆向计算
好的,我们继续
我们从元婴出窍次数里先扣除最大单次出窍数,

元婴出窍400轮用时,

元婴出鞘96轮用时,

好的,前边结束在凌晨五点四十左右,后边需要在晚十点四十开启,所以我们基于此设置一个三级预警机制。
一级预警(全天):白天没事就上云上去看看,卡图了手过一下,维持整个体系的通畅
二级预警(晚十点整):晚十点上云看进程,如果白天掉线过,从这半小时里进行补救,刷图或者偷图,总之把次数用掉
三级预警(晚十点半):十点半之前尽量用掉除了最后一次完整出窍的轮次外的所有次数,用不掉就不要了,十点半把最后一波发出去,下线(头铁的十分钟都不想放过的自便)
有人会很疑惑我为什么不算时间大头,白天十七小时的手刷为什么不进行安排?
是这样,手出一次300秒以上,出窍一次50秒,只要手出过盈,完全可以在二级预警甚至三级预警后用出窍或者偷图刷掉。
············一条不成熟的分割线············
2 刷图地图安排
为什么把云罗作为作为分界线呢?
首先,云罗界是神界真正开启的分水岭
其次,云罗是由"灵石至上"转为"灵石算个锤子"的转变点
最后,我就凑一下三点
2.1 过云罗前
攻击18万,防御20万,血量45万(不确定比例是否合理,具体胜率建议根据个人属性自行计算)
不带本命的情况下,
白虎天魔王成功率50%,其余100%(不够)
大焚天魔王成功率50%,魔物成功率99%,其余100%(更不够)
云罗界妖王成功率23%,青魔两三刀都是50%(偷吧)
这块就是想说一下,属性不够,不要头铁
2.2 过云罗后
攻击20万,防御22万,血量50万(不确定比例是否合理,具体胜率建议根据个人属性自行计算)
不带本命的情况下,
白虎天魔王成功率89%,其余100%(可)
大焚天魔王成功率77%,其余100%(悬)
寒冰地狱魔王成功率50%,其余100%(不够)
云罗界妖王成功率34%,青魔三刀89%(还没偷过?不会吧)
手出选用——神1-x+白虎天
过了云罗应该有一个属性快速增长的阶段,具体要看脸
攻击23万,防御24万,血量60万(不确定比例是否合理,具体胜率建议根据个人属性自行计算)
不带本命的情况下,
白虎天魔王成功率100%(可)
大焚天魔王成功率100%(可)
寒冰地狱魔王成功率77%(悬)
血魔界魔王成功率23%,魔物成功率50%(远不够)
手出选用——神1-x+白虎天/大焚天
攻击24万,防御25万,血量65万(不确定比例是否合理,具体胜率建议根据个人属性自行计算)
不带本命的情况下,
白虎天魔王成功率100%(可)
大焚天魔王成功率100%(可)
寒冰地狱魔王成功率98%(可)
血魔界魔王成功率50%,魔物成功率50%(远不够)
手出选用——神1-x+白虎天/大焚天/寒冰地狱
血魔界稳的属性用我两万三千年的属性进行模拟
攻击30万,防御30万,血量75万(喝茶晚,血少)
血魔界魔王成功率89%,其余100%(可)
手出选用——神1-x+白虎天/大焚天/寒冰地狱/血魔界
············一条不成熟的分割线············
3 刷图路线
本章节是全文核心内容
费劲巴拉的手动出窍,设计计算啥的死亡数万脑细胞,当然不是吃饱了撑的,我们的征途是星辰大海(划掉)
我们的目标是——灵石U草铁
实际上对于想不想修真这款游戏,数据都是Excel拉出来的,对于大家并没有过多的选择空间,比如第二章中提到的“手出选图”,其实选择从一开始就只有一种。
就像感情无法量化,每件事都可以有各自见解;但是一个化工流程,从设计之初就只有一个最优解。
手出地图的选择和个性化修改需要考量时间效率和收益效率
需要明确的是:
白虎天草铁效率57.44
大焚天草铁效率58.06
血魔界草铁效率46.44
寒冰地狱介于未知,但应该不会高于白虎天
神界草铁没有进行系统的统计,但是威名界的草铁效率是38.22
改图定律简版:两步多一怪,小赚;两步多一草铁,血赚
再补充一点,手刷在半收益区间,满收益手刷的会在未来狠狠的抽自己大耳刮子,别问,楼主脸还没消肿
好的,科学修仙之路正式开始
首先打开科学修仙

打开统计及应用

3.1 白虎天(阴灵地狱,血魔界)
白虎天,寒冰地狱,血魔界地图相同,对于本地图后文统称白虎天
此外,本文仅提供路线及效率,但不提供wai挂具体内容(别问,问就是因为爱情)
最后,白虎天母图提供效率图,改版没有
3.1.1 白虎天地图母图1——白虎1-0

本图在路线设计上堪称完美,怪物排列仿佛是程序员的失误,几经修改并不能提升综合效率,但是本图适用阶段比较尴尬,具体会在下一个帖子说明
白虎天白虎1-0综合效率图

寒冰地狱白虎1-0综合效率图

血魔界白虎1-0综合效率图

3.1.1 白虎天地图右下改版——白虎1-A

3.1.2 白虎天地图左下改版——白虎1-B

3.1.3 白虎天地图上改版——白虎1-C

3.1.4 白虎天地图下改版——白虎1-AB

3.1.5 白虎天地图全改版——白虎1-ABC-1

3.1.6 白虎天地图全改版——白虎1-ABC-2

3.1.7 白虎天地图全改版——白虎1-ABC-3

3.1.8 白虎天地图全改版——白虎1-ABC-4

3.1.9 白虎天地图总结
从上到下这些图,无非是逐渐从刷灵石转为刷草铁,看个人承受能力等多方面因素,自行选择、修改地图,以实现各自目标年限的利益最大化。
白虎天有这么多地图是因为它的定位不唯一,所以灵石、草铁两向延伸分别衍生出好几张地图。
3.2 大焚天
大焚天存在的目的只有一个!刷草铁!刷草铁!刷草铁!
此外,有人好奇,为什么上文白虎天非要1-X?
这是因为大焚有两张母图
3.2.1 大焚天地图母图1——大焚1-0

这张地图在路线设计上也是非常完美,每一个怪都踩在“两步换一怪”的点上
大焚1-0综合效率图

效率惊人,后边还有更惊人的
3.2.2 大焚天删掉不顺路的怪——大焚1-1

大焚1-1综合效率图

缺零食的悠着点
3.2.3 大焚天仅不躲怪——大焚1-2

大焚1-2综合效率图

这可能是一张阴间地图……
3.2.4 大焚天地图母图2——大焚2-0

这张母图的思路很棒,效率惊人大焚2-0综合效率图

3.2.5 大焚天删掉不顺路的怪——大焚2-1

大焚2-1综合效率图

啊,我的零食!!!!!!!!
············一条不成熟的分割线············
4 杂谈
本文针对性较强,适用于追求极限,起的了早熬得了夜,且修行有成的同道
如果想要提前进入手刷阶段,请跳转"一湘子"道友的帖子
如果想要自行设计刷图路线,需要三界地图,请跳转"稚戈"道友的帖子
神界手刷不要想了,看了地图你就绝望了,如果不信邪请跳转"论坛五好青年微积分"道友的帖子
还有什么后续补充……
下一个帖子是本帖母贴(还没有写),母贴链接(点击跳转)

