关于卖菜赚钱最值和休整时间的计算
修改于2023/02/224992 浏览猫岛攻略
在这篇长帖中,我会修正原帖的错误,并给出不带猫咪时小车休整时间的计算方案。
一、结论
下图中以车负重400000为例计算。改变车的负重,各项最值所对应的菜品不会改变。
这张图是演示用图。为了便于查看,我会把分星级排序表附在文末。

注 论坛及评论区内有大佬提到个别菜品单价并非等差数列,如萌萌茶、爱心酥。本帖参考其数据。
接着我来说怎么看这张图。分两种情况:
1.白天
在白天上线勤快的情况下,选择利润时间比最高的菜。菜品星级相同时,排名前十字体加粗,其中第一、第二、第三分别为绿、黄、红色。限于车子等级,一般选择萌萌茶、恋人咖啡、雪地奶茶等。需要结合自身菜品等级做出决定。
理论上来说,白天只采购一种菜品能获得最高利润。但随着负重上限提升,一些利润时间比较高的菜品也可能卖不完。如果出现这种情况,应该采购一部分该菜品,再采购另外一种利润时间比大且质量较大的菜品,控制两种菜品的份数和,保证菜不冗余即可。
2.夜晚
选择价格质量比最高的菜。原因在于不论哪种菜,消耗速度都是3分钟/2份,如果有多种菜,会从所有菜品中任意抽取2份。夜晚时间是限定的,菜的份数也是限定的。此外,每种菜品出售量还有99份的限制。实际游玩时,可以忽略误差直接取100便于估算。
我的结论:按价格质量比由高到低依次选择菜品拉满99份,直到车装满了。
一般来说,当货车等级达到41级时,就需要减少采购猫咖啡,达到49级时,就不需要采购猫咖啡了。原因是它的利润太低,占了空间却赚不到多少钱。
菜品星级相同时,排名前十字体加粗,其中第一、第二、第三分别为绿、黄、红色。限于车子等级,一般选择猫咖啡、恋人咖啡、萌萌茶、雪地奶茶等。需要结合自身菜品等级做出决定。
此外,如果白天遇到事情长时间不能上线,可以直接采用夜晚的方案。
以上两点结论在数学上都不完全正确。这篇帖子中的方案修改了许多次,也只是越来越接近精确值,亏损和误差是不可避免的。这是一个非线性规划问题,计算精确值需要借助计算机。不过我们不用管这么多,一个游戏而已,谁愿意临睡前还要算数学题啊...
尽快提升车子等级,同时提高猫咪属性值,在短时间内获得更大利润,可以做到日入几十万银鱼干。再去大量抽萌装、材料以及培养小猫,就不会有太大压力。
二、说明
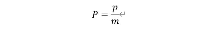
1.价格质量比
表中价格质量比的计算方法是:

其中p是菜品单价,m是菜品质量
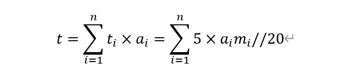
2.满载休整时间
表中满载休整时间指不带猫咪的休整时间。具体计算方法如下:
每份原材料获取后休整时间是:

其中mi是每份原材料质量,ti单位为秒,“//”表示整除
那么每份菜获取后休整时间是:

其中n是原材料种数,ai是每种原材料需要的份数。
注 货车休整时间至少为10s
举个例子:
1份雨后青草咖啡需要5*咖啡豆+4*鲜奶+5*梦见之茶
5*咖啡豆时间是5*5*20//20=25s
4*鲜奶时间是5*4*100//20=100s
5*梦见之茶时间是5*5*50//20=50s
则1份雨后青草咖啡需要25+100+50=175s。
我目前没找到这个表达式的反例,可以用来计算未解锁的菜品休整时间。
不带猫咪是因为。。我不会算。。。他这个数据太玄乎了,而且每个人猫咪属性数值都不同。一般派4只平均属性达到1200的猫咪,休整时间大概会变为原来的1/2。
3.利润时间比
表中利润时间比指的是同一星级单菜品利润 除以 销售总时间和休整总时间中的较大者。
三、附表
1.一星菜品排序表

2.二星菜品排序表

3.三星菜品排序表

4.四星菜品排序表

5.五星菜品排序表




