【数据向】新版赌狗戒指和项链在实战中的期望收益(最终版)
精华2020/08/107160 浏览攻略发布区
这篇帖子涉及到随机过程中的一些知识,没有基础的玩家建议直接跳到结论。
![[嗒啦啦2_吃瓜]](https://img-tc.tapimg.com/market/images/6eb1d083dff1c09692102cb5a98727f3.gif)
在上一篇帖子中,我计算了单次叠层的期望层数:
【数据向】准确计算出新版赌狗戒指和项链的期望层数
但是经过和另一位玩家(论坛名:GB)的激烈讨论,发现了一些疏忽的地方(学过但是学完就忘了……),于是便有了这个帖子。
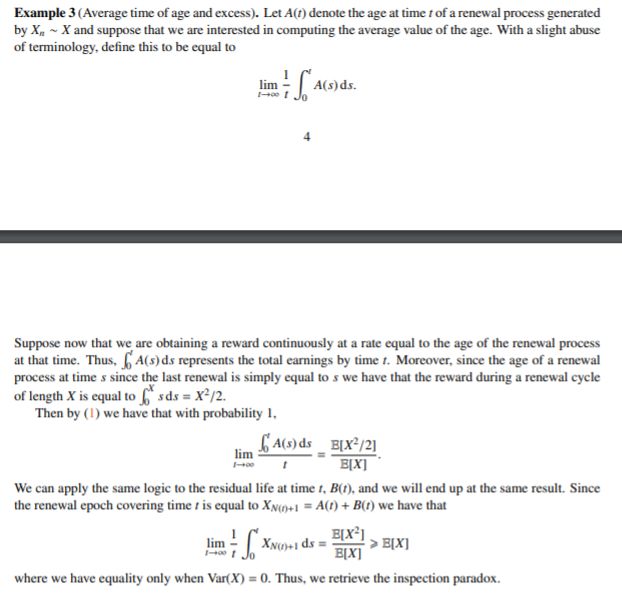
首先,之前的结果是没有问题的,单次叠赌狗期望层数12.21层。但是在实战之中,这个数据无法直接使用,因为对于给定时间段的话,期望收益是会大于单次期望的。这句话是很难理解的……有兴趣有基础的朋友可以自己查看下renewal theory相关的inspection paradox。
这里给一段简洁的解释:

下面开始固定时间段内期望收益的计算:

这里的模型是reward renewal process,计算average time of age,excess在每个周期固定为1个单位。这个计算本来是可以直接套用上面英文材料里的公式,但是由于多出来了满层到0层的时间,需要调整下。主体形式是一样的。
结论部分:
考虑固定时间段内的收益(比如世界boss、裂隙等),而不是单次叠层收益,结论:期望层数为15.14
赌狗戒指——欲壑
对应获得37.85%伤害加成。
赌狗项链——无厌
收益是5%暴击率和17.57爆伤。
这个计算结果是实际战斗中可以用到的,而不像之前那样只是单次的理论值,并没有实战价值。
![[嗒啦啦2_吃瓜]](https://img-tc.tapimg.com/market/images/6eb1d083dff1c09692102cb5a98727f3.gif)
本篇攻略内容比较硬核,纯属我闲着没事的产物,虽然可能没几个人看懂,但是还是想写出来……
关于数值模拟部分,之前那篇帖子里(26楼)GB已经贴出来了,只需要把满层到0层的那一个单位时间考虑进去,就应该和我这里一样。

