7.18违规账号封禁名单公示
各位玩家好:
非常感谢玩家们一直以来对小分队的支持,为了保证所有玩家的游戏体验,小分队也在致力于维护游戏的公平性、游戏环境的安全性、玩家的合法权益。在这次旅行中,我们发现部分玩家涉嫌通过不正当操作修改数据,对于上述玩家我们都做了封禁处理,维护游戏环境,需要我们共同努力!
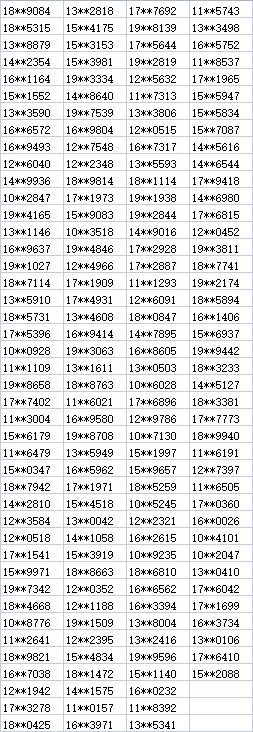
以下是经过核实后进行封禁处理的玩家名单公示:

最后我们也希望小伙伴们一起共同维护公平安全的游戏环境,针对涉嫌修改数据的玩家账号,一经发现都会做严格处理,任何游戏内的建议和疑问都可以寻找客服管理员进行沟通处理,感谢大家的支持,希望小伙伴们游玩愉快~

