玉弓楼之月轮和毁灭的选择
修改于2023/10/092172 浏览游戏攻略
新副本(玉弓楼)攻略
游戏id59063
一、前言
玩家集齐400个月饼后可以购买25个紫色月轮最终合成100级红色武器月轮。然而不少玩家对于月轮和毁灭之间的选择感到困惑,今天本帖将尝试从数据的角度来分析两把武器的差距,给各位玩家选择武器时提供参考。
二、武器属性
月轮和毁灭的属性如图所示(采用了大众选择的属性)。考虑单击伤害时,月轮的攻速以及毁灭的幸运对单击伤害没有加成,不予考虑。仅对比其他属性。此外,默认满暴击率和有吉运(伤害按最大伤害算)。

三、伤害计算公式
通过实测,主角对怪的物理伤害公式如下(两把武器均为物理伤害,所以只考虑物理伤害):
伤害=[基础伤害*(1+精英伤害)*(1+暴击伤害)]×(1+紫条系数)
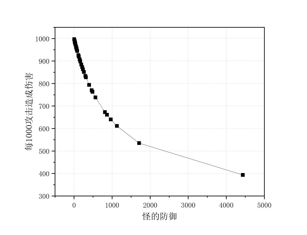
首先介绍基础伤害,怪有防御,所以攻击打上去会有折扣,如下图所示。初期的时候怪增加1点防御时所受到的伤害大约减少3点。随着防御的增加,每点防御带来的减伤越来越少。为了照顾毁灭,简单假设削减怪1点防御可以增加3点基础伤害。

接下来介绍紫条系数,紫条系数指的是月轮、毁灭、汉风裙的紫条,比如人物只装备了毁灭,则紫条系数是350%,人物装备了月轮+汉风裙的紫条系数是670%。
四、武器对比
通过伤害公式,可以对两把武器进行对比。而怪的防御会对伤害有影响,所以用高防御怪来计算(大家做出这两把武器也不会只是去切脆皮怪吧),以2000防御怪为例,免伤大概为50%,那么基础伤害为:
基础伤害=攻击力*(1-50%)
假设人物除了武器外的攻击力是10000,则有
月轮的基础伤害是:(10000+2225+257)*50%=6241
毁灭的基础伤害是(毁灭有48点防御忽略):(10000+1465+81+162)*50%+48*3=5998
在怪防御2000的情况下,完全不考虑精英伤害和暴击伤害的话,两把武器的伤害如下图。可以发现,①人物不计武器的攻击力低于4080时,月轮强,其余情况毁灭强。②两把武器其实差不多,30000攻击时,毁灭比月轮强5.7%。如果有汉风裙的话,两把武器的差距会进一步缩小。③怪的防御越高,毁灭优势会变大但是基本忽略不计。
可以说,不考虑精英伤害和暴击伤害时,两把武器没区别。

考虑精英伤害和暴击伤害的话,月轮比毁灭多了44%暴击伤害和37%精英伤害。假设除武器外的暴击伤害为300%,精英伤害为15%。
月轮伤害=不考虑精英爆伤的伤害×344%×152%
毁灭伤害=不考虑精英爆伤的伤害×300%×115%
两者相除可知,月轮伤害为毁灭伤害的1.5倍。
五、结论
不考虑精英伤害和暴击伤害的话,两把武器单击其实差不多,毁灭略微领先。考虑精英伤害和暴击伤害的话,月轮单击比毁灭单击强50%左右。如果考虑持续输出,月轮还有21%的攻速加成,会进一步拉开两把武器的差距。
计算过程如上,每个人都攻击力爆伤精英伤害和面对的怪都不一样,大家可以根据自己的情况计算一下。

