山友们好!!长期🌳活动:夜观月🌙相
山友们好!!老农种树增加星座和月亮已经很久啦,是时候和大家分享关于星空和月亮的有趣景观了!
大家都种月亮树了吗?常常有山友问,为什么月亮树白天有月亮,也有山友问,为什么月亮树晚上没有月亮。
这到底是为什么呢?![[TapFamily_啥]](https://img-tc.tapimg.com/market/images/7b374ceafa47a66028b07da8e7c4ea87.gif)
![[TapFamily_啥]](https://img-tc.tapimg.com/market/images/7b374ceafa47a66028b07da8e7c4ea87.gif)
让我们一起抬头看看月亮吧!
欢迎来到新活动——


月相手账
本期活动很简单,记录看见不同月相时,月亮的高度。
记录之前,让我们一起看看什么是月相~月相科普有一点点难,不要担心,如果你没有看懂介绍,也完全可以参与活动。说不定你在完成本次活动后,忽然就恍然大悟了呢!![[TapFamily_达成一致]](https://img-tc.tapimg.com/market/images/8b1ec666727cc0a973d4c06b83154ce9.gif)
![[TapFamily_达成一致]](https://img-tc.tapimg.com/market/images/8b1ec666727cc0a973d4c06b83154ce9.gif)
提示:看不懂月相科普不影响参与活动!直接拉到结尾看活动介绍,活动仅需看见月亮+做个笔记即可~


活动内容
见本帖结尾。
活动时间
长期有效,按季节发奖。
活动奖品
1、观月爱好者10名,综合观月笔记,(动态和回复)点赞,评论等评选。
奖品太阳花种子*50
2、观月新手若干名,按活动要求参与即可获得奖品。
奖品太阳花种子*8


月相科普
在开始介绍活动内容前,我们先一起了解一下
什么是月相?
我们都会注意到,有时候天上挂着月亮。有可能是细细的峨眉月,有可能是半圆的弦月,有可能是又圆又亮的满月。
月亮的形状是什么决定的呢?
月亮的形状是月球被太阳光照亮的部分。

图1(网络图片)
月亮在一个公转周期内,围绕地球旋转一圈。
月亮是一个球体,在一个月球公转周期中,不论月亮运动到哪个位置,(月食等特殊情况除外)月球都有一半的表面被太阳光照亮。
既然如此,为什么我们看见的月亮不总是半圆呢?
这是由月球和地球的相对位置决定的。
当月亮处于图1中的位置1时,也就是新月时,月球被照亮的半面,正好背对地球,我们是看不见的,因此我们看见的是月球无光的一面——也就是,看不见月亮。
当月亮处于图1中的位置5时,月球被照亮的半面正好面对地球,这时我们就能看见完整的圆月。
当月亮的位置介于位置1和位置5之间时,我们从地球上看月亮,可以同时看见月亮被照亮的部分和没被照亮的部分,月球相对于地球的位置不同,我们所看见的月球的亮暗面的比例就不同,月亮就呈现出不同的形状。
大家跟上了吗?如果上面宇宙视角的星球运动有点点抽象,我们就先回到地球视角来。
阴历
不知道山友们有没有好奇过,为什么每次看见满月,阴历都是十五或者十六?
因为阴历又叫太阴历,是根据古人月亮变化周期确定的历法(时间记录方式)。所以,与其说阴历十五有满月,不如说,正因为是满月,所以才是阴历十五。
下面这张月相图,就是一个阴历月30天真正的含义:

我们将月球暗面正对地球的日子记为初一,这一天的月相叫做朔月,又叫新月。(朔月是看不见的,因为朔月升起的时间在白天,并且月球暗面对着地球)
随着月球公转,月球被照亮的一边逐渐面对地球。我们可以将月球的亮面想象为月亮姐姐的脸,将暗面想象成月亮姐姐乌黑头发的后脑勺。月相变化就好像月亮姐姐本来背对我们,但是逐渐转身,一点一点露出脸庞。
新月渐渐变宽,就叫做新月蛾眉月,像蛾子的眉毛。有句诗讲:“遥看一痕月,掐破楚天青”
描述的就是白天,蓝天之上出现的一道像指甲印般纤细且弯的新月。
蛾眉月是非常容易看见的,因为它几乎整个白天都挂在天上,在晴天早上(一般是残月)或下午(一般是新月),阳光不那么强烈时,蛾眉月就像一绺飘在天上的云。
“初月如弓未上弦,分明挂在碧霄边。”
当月亮由看不见逐渐变为圆,这段时间叫上弦。上弦是一个动词,描述给弓装弦。当月亮变为几乎半圆,这种月形是标准的上弦月。(俺个人喜欢把未满的月全叫上弦,亏月全叫下弦)
上弦月之后,月形渐渐满,变为渐盈凸月,再变为满月,共经历十五天左右。
满月之后,月形渐亏,注意看,月盈和月亏的方向是相反的。我们不用去专门记月亮的弦在左还是右,观察月相有句口诀:
上上上弦月,下下下弦月。
阴历上半个月,上半夜(指午夜之前,包括下午和上半夜),看见的是上弦月;阴历下半个月,下半夜(指午夜之后,包括半夜和早上),看见的是下弦月。
下弦月的月出时间是半夜,清晨时,下弦月正升到高空;上弦月中午升起,下午时上弦月在高空。以中午为界限,如果我们早上看见月亮,通常是下弦月;如果下午和晚上看见月亮,是上弦月。
满月之后,月亮变为渐亏凸月,再变为半圆的下弦月,直至残月,这个过程仍然是十五天左右。
残月之后又是新的一个月,初一新月。
月升月落
山友们还好吗,我们马上就介绍完啦,下面是最抽象的部分——月升月落时间。让我们回到宇宙视角的图1。

图1
月相是月球的明与暗,而月升月落时间则来自地球的明与暗——
不论太阳还是月亮,还是下次活动我们要介绍的星星,它们的升起还是落下,都来自地球自转。
一定一定要记住这件事,转不是天体,而是地球。
在关于月亮的部分中,地球自转会产生如下效果:
1、太阳的升起和落下=白天和黑夜的变化=日周期时间=24小时
2、月亮的升起和落下
所以我们谈论月亮升起的“时间”,就是谈论,月亮升起时,“太阳在什么位置”。
对于每一个月相来说,地球,月亮,太阳三者之间的相对位置都是固定的。因为只有在这个位置,才能看到这样的月相!

我们可以将日出理解为6:00,日落理解为18:00,如图所示:

满月的时候,月亮,地球,太阳处于一条直线上,月亮位于地球暗面的中心线上;也就是说,月亮位于我们的头顶时,正好是午夜24:00。往前后各推6个小时,可知满月18:00升起,第二天6:00落下。
而上弦月时,月亮位于昏线;也就是说,月亮位于我们的头顶时,正好是晚上18:00,往前后各推6个小时,可知上弦月12:00升起,24:00落下。
同样的道理,下弦月时,月亮位于晨昏线的晨线;也就是说,月亮位于我们的头顶时,正好是早上6:00,往前后各推6个小时,可知下弦月24:00(0:00)升起,12:00落下。
上图中标注了各种月相的月中时间,山友们可以推算一下各种月相的月出,月落时间。


月亮树
在游戏中,月亮树的月亮亮起时,代表现实中的月亮正挂在天上。月亮树的月亮从那片云的正下方出现,代表月出,以云为圆心,顺时针绕一圈,回到云的正下方,代表月落。如果月亮树的月亮在云上方,那么此时现实世界月亮角度比较高,很容易观察到。


活动内容
记录一个阴历月(月球公转周期)的8种月相。
(看不懂介绍可以拉到结尾先看月相手账的要求)
制作含有:观察日期时间,观察时月亮高度,月出,月中,月落时间,5个内容,一共8个月相的手账。(新月只需要月出,月中,月落时间)

1、记录观察到月相的阴历日期,时间,当时月亮的高度,填写在月相记录表上。
1新月峨眉月,推荐观察时间:阴历5号前,下午
2上弦月,推荐观察时间:阴历6-10号,傍晚
3渐盈凸月,推荐观察时间:阴历11-14号,晚上
4满月,推荐观察时间:阴历15,16号,晚上
5渐亏凸月,推荐观察时间:阴历16号-20号,午夜
6下弦月,推荐观察时间:阴历20-23号,日出附近
7残月,推荐观察时间:阴历23-29号,上午
小窍门:每种月形差不多持续3天,月牙是峨眉月,半圆是弦月,快圆了是凸月,圆了是满月。(至于是上弦月还是下弦月,翻翻阴历,十五之前是上弦月,十五之后是下弦月)
观察指南:
第一步,先看到月亮。
第二步,看时间,记录当前时间,比如19:21
第三步,看阴历,记录当前日期,例如十五
第四步,确定正南方向。(可以用手机的指南针)(如果你位于北回归线以南,可能会看见月亮出现在北方天空,为了看见月亮,你需要面朝正北方向)
第五步,面朝正南方向(或正北),左手东,右手西,观察月亮所处的位置。
第六步,在月相手账上记录以上三点内容:时间,日期,月亮位置。
2、推算该月相的月出,中天,月落时间,填写在月相记录表上
推算方法:
为了简化推算步骤(忽略经纬度,星球轨道夹角等影响),我们假设月球每天从升起到落下,均经过12小时。
月亮需要12小时,从东边地平线升起,在天空划过半圆,在西边地平线落下。12小时运动180度,平均每小时运动15度。
(不要头疼,马上就算出来啦)![[TapFamily_阴暗爬行]](https://img-tc.tapimg.com/market/images/00a867e7d6aa958873465116fcd7b0de.gif)
![[TapFamily_阴暗爬行]](https://img-tc.tapimg.com/market/images/00a867e7d6aa958873465116fcd7b0de.gif)
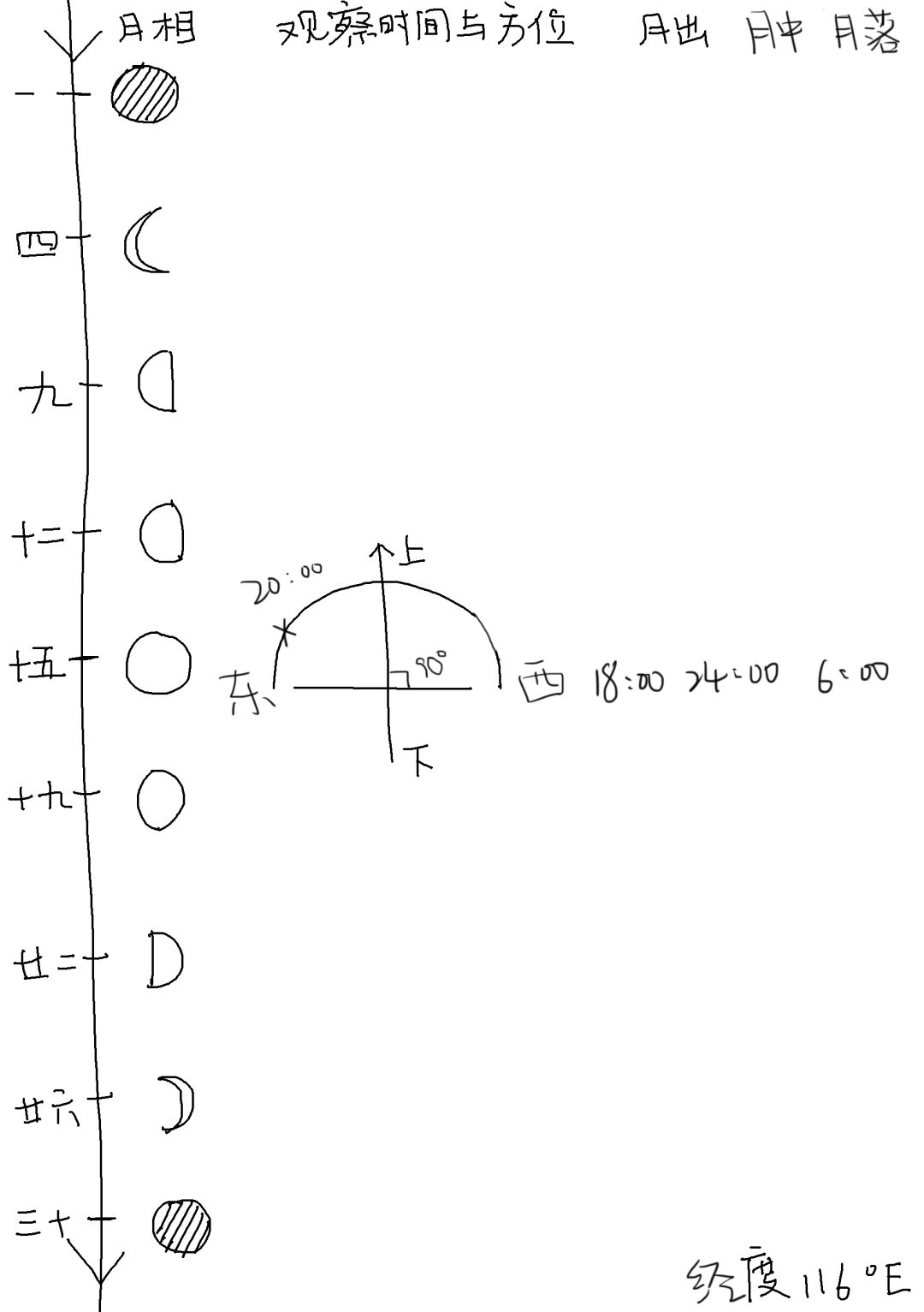
现在让我们看一眼之前画好的月亮位置图,估计一下当前月亮升起的角度:
以自己眼睛为圆心,视平线高度为水平线,面向正南,以15度为1小时——
注意!视平线是水平线,不是地面!

①看下手表,确定当前时间(例如20:00)
②将位置图的四分之一圆大概分成差不多的六分,那么每份就是15度。估计此时月亮和地平线的夹角(例如30°)
③计算月出时间:月亮与圆心连线 与 东边地平线的夹角,除以15度,就是月亮已经升起的时间(例如30/15=2),用当前时间减去估计的时间,即可得到月出时间(20:00-2=18:00)
④月出时间+6小时=月中时间。
⑤月中时间+6小时=月落时间。
小窍门:估计角度的时候,按15,30,45,60,75,90这样估计就行,不用很准确,误差不会超过两小时,精确度已经够啦!
恭喜!!!你刚刚算出了了当天月亮升起的时段!
3、在月相记录表上标记观察所处的经度或地理位置时区(不是钟表时区哦)(不用写纬度,不然就暴露位置信息啦)
如果你所在地区经常是阴天看不见月亮,也可以找看得见月亮的朋友帮忙记录哦!只要在记录旁别注明经度即可。
4、完成7个月相后,推算一下看不见的新月的月出和月落时间,记录在表格上。
总共记录8种月相!
然后就,完工啦!!!![[TapFamily_鼓掌]](https://img-tc.tapimg.com/market/images/466b4d1fe7f968b013b2ac76f7bd54fe.gif)
![[TapFamily_鼓掌]](https://img-tc.tapimg.com/market/images/466b4d1fe7f968b013b2ac76f7bd54fe.gif)


一句话描述本次活动:记录看到月亮时,月亮的高度!
(看着复杂只是在详细解释怎么看,看到了是什么意思,不要担心啦,重点一个也不考!!)
(学会之后只要看一眼月亮就能说出差不多准确的阴历日期和当前时间,也是很酷的啦!)


参与步骤
1、在TapTap上为老农种树打分并写下评价,描述一下种树的体验吧!(之前评价过也算)
注意!没有评价自动放弃本次活动领奖资格~
2、按上述要求制作月相手账(也就是那张表格)。
可以每个月相画一页包含活动要求的手账,最后所有页拼成一张图参加活动~(感觉这样好看很多(点头(暗示
3、用手账在论坛发帖或状态,并复制其链接。
4、用帖子或状态的链接和图片一起回复本帖。
每人仅限参与一次!重复参与取消获奖资格。

