关于旋转音律中音律值(rating)的讲解
修改于2024/06/093750 浏览攻略
由于更新,rating计算方式更改,本专栏部分内容不适用。具体为去除了r10,也就是音律值直接等于b30,其他内容不变。(为什么不修改内容,主要是因为我太懒了。)
在本专栏,可以了解以下内容及计算方式:歌曲分数、单曲音律值、历史最佳表现b30、近期表现r10、综合rating、r10保护机制。
首先先解释一下歌曲成绩
歌曲定数,每个歌曲的各个难度都有各自的定数,代表了歌曲难度,可以用来计算rating,有兴趣的可以搜定数表。
歌曲分数是你打歌的成绩,通常在0到1010000之间,1010000称为理论值。
分数计算方法:
1:黄键是其他键分数的1/7,其他键分数相同
2:所有键按1的规则平分1000000分
3:当你打歌时,打出p+时得键分数的101%,p是100%,good是25%,miss不得分。
由此可以算出的歌曲成绩。
先来看单曲的rating吧
分数换算单曲rating方式在图1
图2是几个重点值的rating
由此可以看出rating的增长,在1000000以上加快,其中1004000到1008000增长最快,4000分足足占了1rating,所以推分最基础的要求就是打到1008000。
如何将单曲rating转化为总rating?
首先,我们需要知道,总rating分为b30和r10,即历史最佳表现和近期表现。
历史最佳表现(B拔)可以看作一个长度为30,按单谱Rating倒序排序的序列。当某次游玩的单谱Rating超过了序列尾的单谱Rating时,序列尾的记录被删除,并将该次游玩的单谱Rating插入序列。由此可知,历史最佳表现只会随着水平提升而增加,不会倒退。
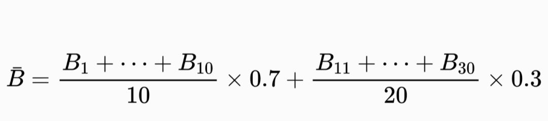
b30中,前10首占比b30的七成,后20首占b30的三成,具体计算方式可以见图3。(bn为b30中排名第n的单曲rating,rn同理)
近期表现(R拔)可以看作一个长度为10的队列。在某次游玩后,该次成绩将加入队列尾,而队列头从队列中被移出。因此,如果连续多次游玩表现不佳,可能会导致近期表现下降,进一步导致综合Rating下滑。
r10中,各成绩分数占比相同,这里与b30不同。计算公式为图4。
综合rating计算,当b30和r10计算完成后,可按照b30占比75%,r10占比25%的方式计算出综和rating,具体公式在图5。
另外存在r10保护机制,如果你单曲成绩超过1000000或者破纪录时,若该成绩比r拔中最小值高,会改为替换最小值成绩,如若比r拔中最小值小,则不参与r10的计算。
以上描述的信息,部分来自于b站cv17183310
对推分感兴趣的朋友可以看我的下一篇文章:b30和r10对推分的作用

图1、rating计算公式

图2、重点分数的rating

图3、历史最佳表现(b30)计算公式

图4、近期表现(r10)计算公式

图5、综合rating计算公式

