8件套词条到底有多少实际提升?数据向攻略
精华2023/12/176703 浏览攻略征集🏰
前言:本篇攻略可以量化8件套的实际提升,如果你有“我银花很少,要不要硬凑8件套?”或“我是氪金大佬,哪个套装更厉害”这样的疑惑,这篇攻略将给你详尽的解答。

灵医8件套词条
做这个攻略起因是最近我一直在买装备赌套装,上头想凑8件套,最后赌的身无分文也没凑齐。冷静以后想看看为了8件套的词条投入这么多,到底值不值?一个想法的诞生往往就在热烈与冷静的碰撞间,那就开干吧!


以灵医的灵息套装为例:

技能

突破
以上是技能数据

人物属性面板
以上是属性面板(68级人物,全60装备)
我们先按13级技能和1级突破计算(目前能点到的最高等级)
技能伤害:730%×59882+166436=603575,突破伤害:139%×15895=22094,总伤害:603575+22094=625669,套装让突破升1级,带来的增益:22094÷625669=3.53%
这里看到收益率感觉还行吧,但这只是单技能增益,不是主属性或者攻击力那种让你所有攻击和技能都受益的,所以还需要考虑其他技能的数值,综合得出技能权重。最严谨也最复杂的算法就是把5个技能伤害都算出来,再除以冷却时间,得出每个技能DPS数值,用某一技能的DPS除以5技能DPS总和就是该技能的权重。但这个算法过程复杂且变量较多,个人玩家不建议使用。
我们可以采取简便算法,这里我使用预估法,根据有限的信息进行合理推断,也就是假定技能DPS相同,所以权重一致,每个技能的权重都按五分之一来计算。那么技能收益就是3.53%÷5=0.70%。可以近似理解为DPS提高了0.70%。
当然这个数值是有误差的,我还是用刚才提到的严谨科学的算法进行验算:

灵医技能倍率数据表,可根据输入数据算出实际收益
根据上表,得出灵息套的8件套词条实际收益区间为0.94%-1.32%(平均1.13%),幻翼套为0.51%-0.79%(平均0.65%)。(看来预估法的误差还是较大,如果要推广使用,建议团体玩家还是选择上述表格的算法。)
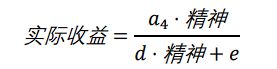
也许有人会问,我的技能等级和属性跟你不一样,算出来结果肯定和你不一样,那该怎么办?为了使本文不失去参考意义,我们要找到收益的变化规律,把数据抽象成函数。实际收益=突破DPS÷5个技能DPS,如下:

公式1
算式展开,

公式2
到这里有些玩家已经尿了,别怕,咱们可以把常量简化,我们把突破倍率/冷却设为a,技能倍率/冷却设为b,固定伤害/冷却设为c,如下:

公式3(初始攻击=总攻击-主属性)
继续化简,

公式4
我们把an+bn的求和设为d,cn+bn*初始攻击的求和设为e,可得

公式5
可以看出这是变量只有精神的反比例函数,我们来作图,让实际收益为y,精神为x,设a4=1,d=1,e=1,函数为y=x/(x+1),它长这样:

y=x/(x+1)的函数图像
(备注:改变a4、d、e的数值不影响函数基本性质,不影响后续结论)
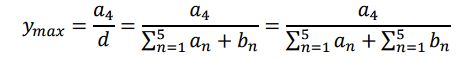
我们只看x>0的部分,可以看出精神越高,收益增长越慢,且有增长极限,极限值y为a4/d。也就是说,收益极限值只与技能倍率、突破倍率、冷却相关,是一个定值。我们计算一下这个极限值,如下

公式6
突破倍率/冷却为a,技能倍率/冷却为b,还原出来运算,我按照灵医全治疗技能组+灵息套取值建立此表,如下

灵医技能权重常数对照表
根据此表计算,极限值y=4.41%。这就是灵息套全治疗收益极限。
由上述算式可算出当主属性变化时,8件套的收益率,如下

8件套收益率快速查找表
可以看到,当精神为1000万的时候,灵息套全治疗收益是4.39%,已经十分接近极限值4.41%。也就验证了我的函数是正确的。但同样会发现到达极限几乎是不可能的,现在服务器中大部分人的主属性都在“万”这个量级,短时间内(甚至到游戏停服)都没有到达1000万的可能。所以这个极限也就失去了参考意义。
不过从变化曲线看可以大致估测,目前大部分玩家实际上的收益在0.5%-1.5%之间,主属性越高,收益越高。我给我们服战力第一人也测算了一遍,对比表格如下,

我与榜一大佬对于8件套的收益对比
*本攻略中大部分表格数据仅对计算我目前角色生效,但对其他灵医也有一定参考性。每个人的主属性和攻击力不同(可能技能加点也不同),如需计算需要带入具体属性值。其他职业需要调整倍率后再计算。我的原始计算表理论上可以计算所有职业和角色的套装数据,只需填写你职业技能数据和角色属性。


结论:
- 8件套的实际提升对我而言目前不到1%,与我属性相近的灵医可参考我的结果,目前绝大部分玩家的收益在0.5%-1.5%之间。
- 8件套的实际提升理论极限只与技能倍率、突破倍率、冷却相关。
- 8件套的实际提升具体数值与当前主属性和初始攻击有关,初始攻击一定时,主属性越高提升越大,主属性一定时,初始攻击越高提升越小。
- 灵医两种套装实际提升存在较大差距,任何属性数值下灵息都优于幻翼,如有条件可无脑选灵息套。
*初始攻击=对应攻击-主属性,比如你是猎影就用物理攻击-力量,魔导就用魔法攻击-智慧
凑8件套的时候越接近凑齐就越艰难,花费的努力也就越多。本文旨在提供一个可行的方法来量化不易被直观察觉的加成,并以数据的形式表示出来。希望能对大家要不要凑套装,以及套装怎么选来做出指导。
感谢你看到这里,加一个福利,回复你的精神数值+魔法攻击数值+你的套装,我帮你算实际收益,仅限灵医!本篇攻略的工作量太大,所以只能用来计算灵医,如果你们想看其他职业的攻略,要在评论区让我看见哦!
作者:小呆是小屁
区服:悠闲海滩-ios

