数值计算-关于37心相的选择
修改于2024/03/156875 浏览攻略








配队是:37,142d,曲娘,牙仙。(37默认满爆)
楼主前几天刚补了37的二塑,一直纠结于悄悄话和沉默与向往给谁用饕餮好。以前的观点是悄悄话会比较好,但是考虑到最近曲娘和142d都是追击队,让37的追击频率加的非常高,所以或许沉默与向往的性价比就提升了。
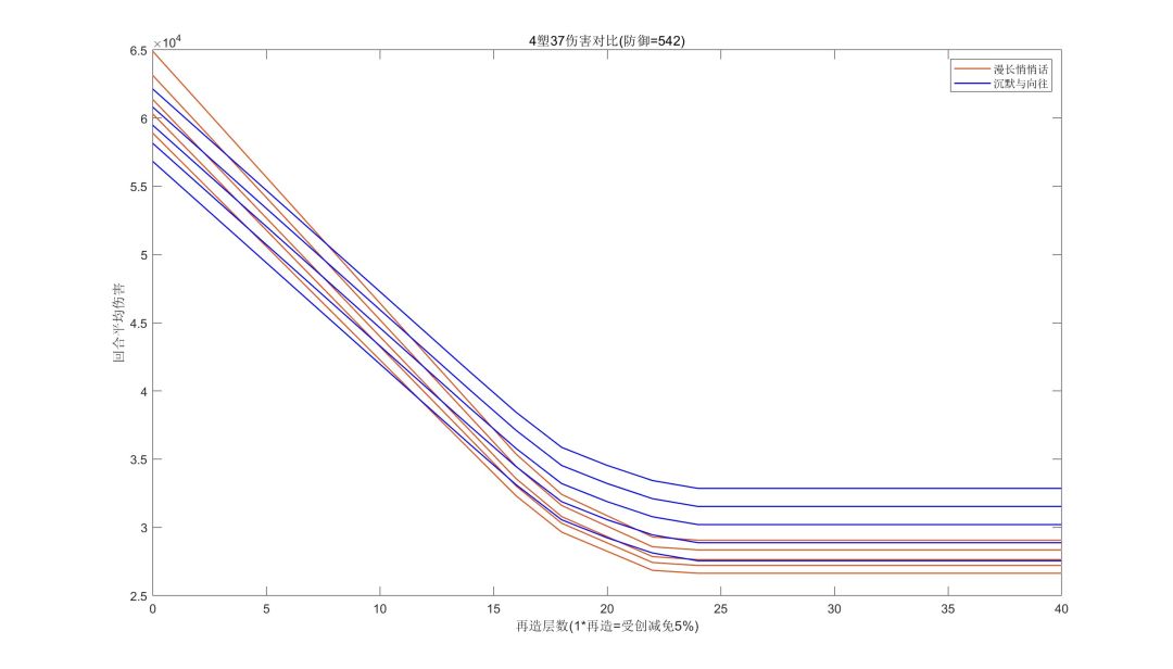
看了一圈贴吧,Tap,nga只是有一些定性的结论,但是貌似都没有大佬具体计算过加上142d后的两个心相的对比,索性自己粗略算了一下,情况如图所示(橙色从下到上依次为满级悄悄话的增幅从一到五,蓝色同理。)
先说结论:(1)鬃毛不凹高分的话带悄悄话,鬃毛凹高分的话带沉默与向往。
(2)在免伤不高,直接选悄悄话。即使在ss防御的情况下,悄悄话也比沉默与向往好。(免伤不高时,长线短线都是用悄悄话更好)
(3)关于饕餮的使用:萌新饕餮不多可以不用考虑增幅,实在想增幅的话可以把悄悄话拉到二增幅,比较泛用。老玩家饕餮溢出并且想带37去凹鬃毛高分的,一定要把沉默与向往的增幅拉高。后面boss免伤起来了37的大轮子伤害还是很可观。
注释:这次一共选择了两个自变量,一个是防御,一个是创伤减免(再造)。在现今boss的防御下,仍然是悄悄话更好。而再造是boss第四阶段每掉一管血就会加两层再造。可以看到零塑37在14层再造时,也就是大约在85万时,沉默与向往会超过悄悄话。而二塑37大约在11层再造时(70万),沉默与向往超过悄悄话。四塑五塑大概在第八层再造(55万)时,沉默超过悄悄话。可以说,要凹高分,满增幅的沉默与向往是大佬们的必备。而萌新们就直接选悄悄话就好了。
ps:计算上,二塑和零塑是算的最准确的。四塑五塑因为灵光增加以及启迪和数维的感知数量不一样等问题,只是稍微对二塑的表达式做了一些修正,结果不是很精确。
理想上的出牌顺序是这样的,四回合一个循环。默认142d暖机完毕,每回合追击一次。对面有三个敌人。

这是计算过程,前三个function分别代表技能一,技能二,被动技能大轮子。第四个function是算回合平均伤害的。第五个是主函数画图。





欢迎大家一起来讨论呀![[表情_斜眼笑]](https://img-tc.tapimg.com/market/images/d1b1dcc88719f6c9a639728cde152c4b.png)
![[表情_斜眼笑]](https://img-tc.tapimg.com/market/images/d1b1dcc88719f6c9a639728cde152c4b.png)
![[表情_斜眼笑]](https://img-tc.tapimg.com/market/images/d1b1dcc88719f6c9a639728cde152c4b.png)
![[表情_斜眼笑]](https://img-tc.tapimg.com/market/images/d1b1dcc88719f6c9a639728cde152c4b.png)


