浅析攻速属性
2024/07/31399 浏览攻略
2024/7/31 【星星殇】


哈喽大家好,星联新射手—海蒂即将要上线了,根据已知信息,海蒂的技能机制与攻速有很大关联,借此机会,笔者来测试和分析一下很少被大家谈及到的攻速属性。
这里给心急的小伙伴先说说结论:游戏对攻速应该有上限,测试中,普攻间隔达到0.834秒/次后再无提升,即绝大部分英雄攻速面板到93%左右为最高射速,93%以上无意义!!!
正文
一开始我选择了R卡蜘蛛(屁王)作为测评对象,后来发现这货居然是个异类,初始普攻间隔高达2秒/次,测完它才发现大部分英雄初始为1.567秒/次左右(当然我没全测,随机了几个英雄),但发现他们的攻速成长曲线差不多,所以还是用蜘蛛的统计数据来建立攻速成长曲线(懒)
首先笔者使用手机录制1秒30帧的战斗视频,再导入pr,精确到帧来统计普攻间隔时间

PS:统计时间肯定没有百分百准确,上下应该有个1、2帧的误差
普攻间隔时间:第一次普攻特效出现到第二次普攻特效出现的时间
1帧大概0.0334秒


既然有了数据,那直接用MATLAB来拟合看看

可以看出二次拟合的效果比较好
下面将二次拟合单独拧出来,并输出函数(将78%的数据保留作为检验)


因此笔者得另外选择有更高攻速上限的英雄来统计,这一选也让笔者发现了屁王的特殊和英雄存在攻速上限。
先选了白虎,发现初始0攻速时攻击间隔不同,遂又随机抽取几个英雄测试

由此发现大部分英雄初始为1.567秒/次左右
再对白虎进行详细统计

从此表可以看出从93%往后攻击间隔就没变化了
为避免特殊性,再选取星联射手老头和森罗射手毒狼测试

PS:在统计毒狼数据时,发现一个疑惑的现象,54%的时候毒狼开局1普攻接小技能,到64.2%可以开局2普攻才接小技能,而到了75%居然又只能1普攻接小技能,到84.6%后又恢复正常。不知是bug还是其他什么原因???

笔者精力有限就测了这几位英雄,但得出的结果应该可能大概差不多就这样了
即单次普攻时间存在上限,为0.833秒/次
通过比较上表,可知
0攻速攻击间隔在1.567秒左右的英雄(绝大部分都是),攻速达到93%左右即到攻速上限,堆攻速到93%以上是无意义的!!!
由于笔者做出的攻速模型比较粗糙,很多变量没有考虑进去,误差还是比较大的,但观察表格可知,不同英雄攻速成长曲线差不多(蜘蛛的要相差多一些),所以合理猜测,0速普攻间隔也在游戏攻速计算模型里,又因为大部分英雄0速普攻间隔都差不多一样,所以没在数据中体现出差异性。
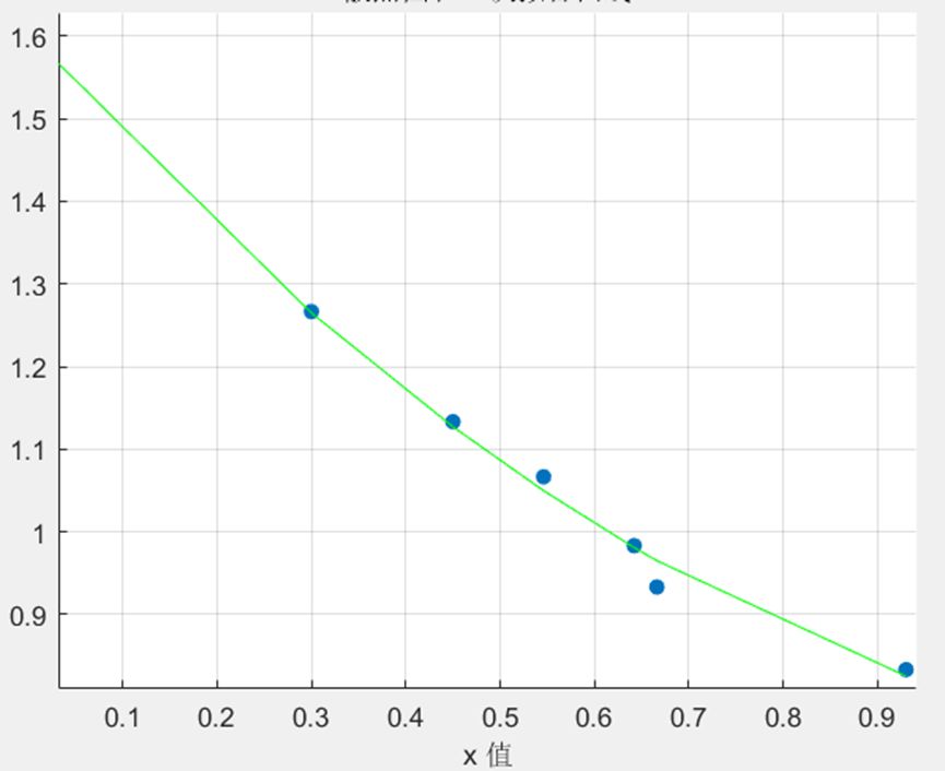
综上,再使用毒狼的数据重新拟合,得到的图像和函数还是适应绝大多数英雄的
攻速成长曲线图



最后,本文仅仅简单讨论了攻速对普攻的变化,而在实战中,普攻还会受到技能释放和走位等等的影响,其他因素不好控制,但小技能释放的时间我们还是可以知道的,所以攻速选择,个人认为以在两个小技能之间内,尽可能多普攻为主,否则即为浪费。
好了,本文到此结束,祝各位小伙伴都能在明天的海蒂up池里10连3金,再见!!!

