【游仙门】【竞技场向】【天矛游侠】新火游侠竞技场手法与搭配
精华修改于2024/09/281.8 万浏览游侠攻略
发布时间:2024.9.25
更新时间:2024.9.28
大家好,我是安卓一区的靓仔游侠。
今天给大家带来竞技场场向的出装搭配和手法解析,希望大家喜欢!
![[TapFamily1_氪服]](https://img-tc.tapimg.com/market/images/f9d87f0d7c1907d5315373492ddaba6e.gif)
![[TapFamily1_氪服]](https://img-tc.tapimg.com/market/images/f9d87f0d7c1907d5315373492ddaba6e.gif)
—————————————————
【前言】
本篇搭配是新火游侠竞技场极致输出套,有一定的门槛,希望能耐心看完全部讲解![[心动小镇_点赞]](https://img-tc.tapimg.com/market/images/17a929b2fb36da6ca1d925a7d08acef9.png)
![[心动小镇_点赞]](https://img-tc.tapimg.com/market/images/17a929b2fb36da6ca1d925a7d08acef9.png)
【装备推荐】
1、混沌暗金

[头部]
羽冠
属性:暴击伤害、属攻
[披风]
鹰羽披风
属性:攻击强度、属攻
[胸部]
虎皮衣
属性:暴击值、属攻
[项链]
神庙护身符
属性:护甲穿透、暴击值、属攻/暴击伤害
[戒指]
龙牙指环:5秒内不受伤,获得40%攻强增幅
属性:攻击强度、属攻、暴击伤害
[脚部]
绿野仙踪
属性:护甲穿透、属攻
激活套装:
lv9突袭:对任意怪造成伤害时,获得289%全伤加成,持续6s,冷却10s
lv6针对性狩猎:普攻伤害减少20%,获得133.2%属性伤害加成
1龙牙:5秒内不受伤,获得40%攻强增幅5秒内不受伤,获得40%攻强增幅
混沌属性:藏针(必需)、蝉联(必需)
ps:由于新火游侠是“卡爆发”流派,突袭套的搭配,是毋庸置疑的
【武器推荐】
1、水位面+水童趣套(极致输出)

魔女武器:托洛-神罚之矛
属性:护甲穿透、首领伤害/攻击强度(专精)、火攻
限定武器1:闪光冲浪王
属性:暴击伤害、护甲穿透/水攻、攻击强度
觉醒属性:暴击伤害
限定武器2:永恒冻原
属性:暴击值、暴击伤害、攻击强度
觉醒属性:暴击伤害
2、水火位面套

魔女武器:托洛-神罚之矛
属性:护甲穿透、首领伤害/攻击强度(专精)、火攻
限定武器1:无间熔荒
属性:暴击伤害、护甲穿透、攻击强度
觉醒属性:暴击伤害
限定武器2:永恒冻原
属性:暴击值、暴击伤害、攻击强度
觉醒属性:暴击伤害
!!重点说一下,为什么会有2套限定方案:
1、新火游侠的核心在于“卡爆发”、“卡潜游者”(潜游者,有5s的易伤buff+36爆伤加成)
2、由于“火位面”会在地面持续燃烧,对boss造成伤害。就算站在原地啥事不干,“火位面”依旧可以给你对boss造成持续伤害。因此,无法满足重复触发“潜游者”天赋的条件,而“水童趣”正是“火位面”的最好替代品,因此上位。
3、对于没有做“水童趣”的玩家,可以依旧选择“水火位面”,而“易伤”buff则由“魂卡-遗迹守卫者”来补充,也就是选择“魂卡3”方案
4、从计算上看,“火位面+水童趣+疯藤乱舞”收益会比“水位面+水童趣+火化”收益要高。但是“火位面+水童趣+疯藤乱舞”,除了无法触发“潜游者”天赋以外,问题还有很多:比如,火位面叠层极慢、无任何boss控场能力、疯藤易伤没法瞬间挂上
5、两套打法,一套是围绕“潜游者”去配置的“水位面+水童趣”打法。一套是传统搭配,“水火位面”打法。
总体伤害来说,“水位面+水童趣”打法>“水火位面”打法,相差10%以上
【魂卡搭配】
1、魂卡1

①攻速要求:200+
②冷缩要求:无
③多与“水位面+水童趣”搭配使用
2、魂卡2(如果没“藏针”则选择这套)

①攻速要求:200+
②冷缩要求:无
③多与“水位面+水童趣”搭配使用
④攻速满200的,“火镖战士”也可以换成“火纹绵羊”
3、魂卡3

①攻速要求:200+
②冷缩要求:无
③多与“水火位面”搭配使用
ps:
1、魂卡1>魂卡2,强1%
2、因为打法不同,魂卡3没法直接和魂卡1、2相比较,但是与“魂卡3”相配对的“水火位面”打法,会比与“魂卡1、2”相配对的“水位面+水童趣”打法,弱10%以上
【天赋】

ps:
①混沌暗金的词条最好带一个“藏针”,可以触发“巫毒师”,中毒+36爆伤、流血+36爆伤,一共72爆伤
②“元素之灵”基本由“舞箭使”触发,游侠的上限,全看“元素之灵”的点燃覆盖率。能挂多久,听天由命吧。因为实在没有其他天赋可以带了
③“潜游者”是这套方案的核心,在携带“水位面+水童趣”的情况下,需要通过松开普攻的操作,来实现“潜游者”的重复触发。
④如果想“卡冲浪板”的话,可以把“枯树之魂”换成“贤者+冒险家+拷问者”
【外装】

魔角-属性:
一阶:元素穿透
二阶:暴击伤害,副属性:火攻+暴击伤害
腰带-属性:
一阶:暴击伤害
二阶:暴击伤害,副属性:火攻+暴击伤害
核心-属性:
一阶:元素穿透
二阶:(竞技场)攻击强度>护甲穿透,副属性:火攻+暴击伤害
徽章-属性:
一阶:攻击强度/护甲穿透
二阶:(竞技场)攻击强度>护甲穿透,副属性:火攻+暴击伤害
耳环-属性:
一阶:元素穿透
二阶:(竞技场)暴击伤害>元素穿透,副属性:火攻+暴击伤害
手镯-属性:
一阶:元素穿透
二阶:(竞技场)暴击伤害>元素穿透,副属性:火攻+暴击伤害
【星盘】

星盘:1日3月4日
【技能】

1、打小怪的时候,虎啸省点用,唯一的无敌技能,用来躲子弹
【宠物】

1、因为整个打法都是围绕疾跑后6s内进行输出,所以宠物这里选择“温蒂妮”,比“仙人掌之王”更好
【魂系】

ps:
核心孔: (对王)焚身祀仪
通用孔:亚斯塔禄>阿嘉>克罗>其他 (不考虑职业词条)
火系孔:阿嘉>亚斯塔禄>其他火系魂珠
职业:牧师(必带)、游侠(不到200攻速就带)、忍者(缺穿透就带)、法师(缺冷缩就带)、战士(都不缺就带)
最佳:1核心+2阿米(牧、战)+3阿嘉(游、战、牧)/2阿嘉(战、牧)1亚斯塔禄 +1安洛先+1克罗(牧师)
【小队buff】

“水童趣+水位面,竞技场推荐面板元穿:2400-2500”
“水火位面,竞技场推荐面板元穿:3000-3100”
【副职业】

突袭套吃“36%火属性伤害的鞋子”
【方案图】

1、面板要求:攻速200,冷缩无要求
2、如果没有“冲浪板(专精)”则换成“水火位面”+“魂卡方案3”(见【魂卡】)
3、天赋:如果想卡“冲浪板”可以把“枯树之魂”换成“拷问者+贤者+冒险家”
4、魂珠:如果不缺攻速,可以把“阿嘉(游侠)”换成“亚斯塔禄”
【视频】
【手法说明】
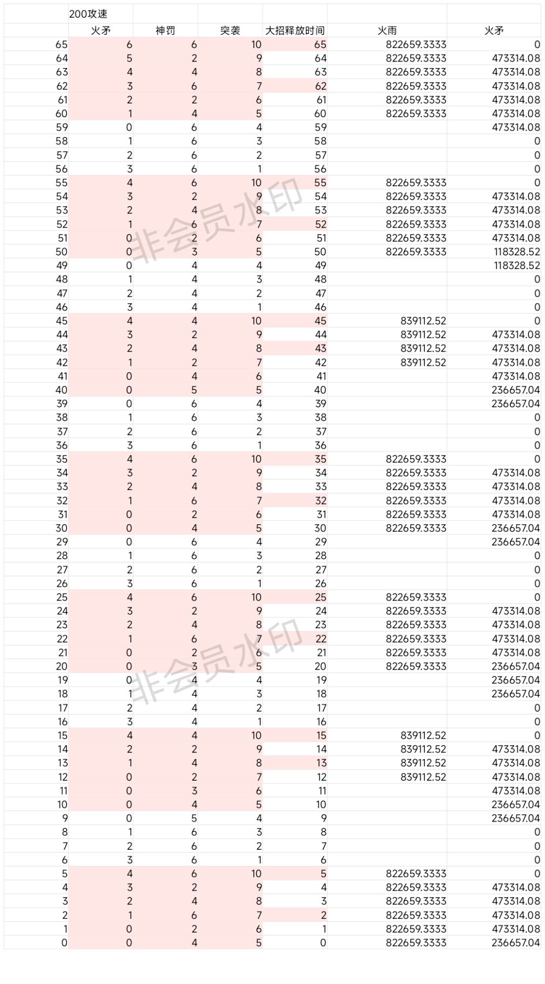
竞技场轴如下:

竞技场65s轴打法

竞技场伤害粗略计算
说明:
1、打法的核心是卡爆发+触发“潜游者”。
2、45s竞技场打法说明:
小怪部分
第一轮小怪随便打就行了
第二轮小怪需要“卡冲浪板”的话,就要注意一下了:
①冲浪板的“鲸鱼”出现机制是,鱼、触手、鸭子都出现后,下一次释放“普攻”/“技能”(愤怒球也会触发)就会释放“鲸鱼”
②当我们打到最后一波小怪的时候,要留意一下“是否集齐鱼、触手、鸭子”,如果集齐了,就靠宠物/踩炸弹/水位面击杀全部小怪。自己不使用技能和普攻。把鲸鱼留到boss出来前再触发,可以实现冲浪板开局即启动。
boss部分
用疾跑计时,10s一次疾跑,就是一个循环:
①时间球刚过2/5左右,开阿米魂系(如果是卡“冲浪板”的话,此时会出现鲸鱼),这样可以确保阿米魂系不会阻碍第二次疾跑的“潜游者”触发,并且能在第一个疾跑内打满所有爆发伤害。

竞技场伤害仅供参考
②boss出来瞬间,第一个疾跑+buff全开+大招,疾跑剩余显示6s(神罚6层)开第二次大招。然后点按普攻,把自身叠层控制回6层,立即停止普攻。
③第二个疾跑+虎啸+大招+普攻,疾跑剩余显示6s(神罚6层)开第二次大招。然后点按普攻,把自身叠层控制到4层,立即停止普攻
④第三个疾跑+虎啸+大招+普攻,疾跑剩余显示7s(神罚4层左右)连点开第二次大招。然后点按普攻,把自身叠层控制到6层,立即停止普攻
⑤第四个疾跑+虎啸+大招+普攻+血瓶+魂力,疾跑剩余显示6s(神罚6层)开第二次大招。然后点按普攻,把自身叠层控制到6层,立即停止普攻
⑥第五个疾跑+虎啸+大招+普攻,疾跑剩余显示6s(神罚6层)开第二次大招。长按普攻,直到结束

ps:打无伤的同时,需要时刻关注“神罚之矛”的叠层情况、疾跑情况、普攻键情况、奥义情况、技能刷新情况
——————————————————
大家好好准备资源吧,伤害平衡,蛙还在搞,别急
![[TapFamily1_思考]](https://img-tc.tapimg.com/market/images/a9d5e9f3672973c3e98d5e18f01a3e0e.gif)
![[TapFamily1_思考]](https://img-tc.tapimg.com/market/images/a9d5e9f3672973c3e98d5e18f01a3e0e.gif)


