端水练卡还是猛练一张?计算练卡成本与收益
修改于2024/11/081529 浏览攻略
由于恋与深空本质是个看剧情的游戏,所以强度凑合练就行,不提升强度也能玩。
本贴仅适合希望提升点强度又穷的人。
此贴适合人群:
1.穷人(像我)。没啥卡
2.穷人(像我)。没啥养卡资源
3.有点看重强度。所以希望能推关,比如我的最佳成就 2200攻击力过莱蒙7,当然这个值不是最低的,b站有个2000过的高手
4.非单推。单推就盯着那几张卡猛猛练就完事了。
此贴尝试解决问题:当你有一堆卡的时候,练啥卡能最快提升整体战斗力?
简明结论:在box无巨大变动的情况下,端水练。算上四星五星一起端水练。
进阶结论:同样的体力收益,提升同星低等级卡的收益远高于提升同星高级卡,相差5级的资源收益比就稳定高于5星与4星的资源收益比。也即:如果你有两张5星卡,一张30级另一张35级,你去拉35级的等级,他们的收益差距就等于你有一张30级5星卡和30级四星卡,你去拉四星卡而不拉五星卡。
更重要的结论:在一张5星卡等级高于4星卡 4级以上 的时候,将同等资源投入到四星卡上能获得更高的收益。这条重点是BOX无变动情况下,如果不练4星卡就不用理。
以下是我目前的box。可以看出全练了。一旦卡关,很难一下子看出来提升哪张卡可以迅速提高战斗力。这样根据上面的规则和一些其他规则(比如我现在还卡哪个圣遗物关卡),决定练哪个队,然后端这个队的水就行。

当前box
计算过程
以下是更多的信息和计算过程。
首先需要已知的信息:
1.假设无限资源,则练卡优先级: 5日>>5月>>4月>4日。
2.四星、五星与不同类型卡属性值。五星各数值=1.5倍四星。主属性有1.1倍加成。叠卡属性加成为1.1 1.1 1.15三个倍率。本攻略不考虑叠卡,因为我都没叠几张,懒得算。练卡成本是5星=1.25四星。因此同等级下练卡收益是五星=1.2四星。
3.各级具体数值,包括数值增长和经验开销。
参考文献:
其中可以观察到数值增长是每级固定的,例如攻击力是每级+6,突破+24。
计算
根据经验开销可以拟合开销曲线:

各开销阶段曲线

曲线图片
这个曲线数值本身不重要,重要的是提供了总和工具,以及斜率计算:
1.每提升10级所需经验总和为前10级的1.6倍(1-30级)和2倍(30-80级)。也就是可以有这么种直观印象:
虽然每10级增长数值是一定的,但是从50级提升到60级所需的经验值,比1-50级加起来还多(这个50级可以是任何整数级)。这就是为什么有很多攻略说升级到60就可以停手了。
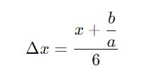
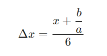
2.用这个曲线,可以计算五星卡和四星卡相差多少级时,资源投入所获收益一致。可以想象,对一张1级4星卡和50级5星卡,肯定是资源给四星收益更高;但是同级时5星投资回报率是1.2 (算法:1.5/1.25 = 1.2)。所以一定有个Δx使得二者收益等同。
Δx计算方法为:

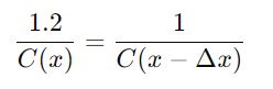
其中a是开销曲线的斜率,b是开销曲线的截距。 推导方法是约简下式,其中C(x)就是开销曲线Cost(x)。

反正我们搞出来了。最终的结果大致为:


所有的Δx都大致分布在1-4之间。这就是开头的结论:“在一张5星卡等级高于4星卡 4级以上 的时候,将同等资源投入到四星卡上能获得更高的收益。这条重点是BOX无变动情况下,如果不练4星卡就不用理。”
的来源。
实际练卡中,这个Δ保持10左右就还行,例如5星卡60级四星卡50级。
相似的同卡中练卡优先级也是这么算的。有感兴趣的我可以贴计算过程,没有就算了。总的而言是2-5级的差异就达到1.2(四星和五星的差异),最多5级。
结论:一个队最好的练法是端水练。
另外卡练什么不练什么毕竟属于个人自由,都没关系。尤其是因为卡面才练的,毕竟游戏本质就是提供个情绪价值。
至于淘汰这一说法,卡只有练了才能打关,如果要想手里的卡都不淘汰,最好的方法是直接退游,十年之后再来玩,那时候现在的卡一定都淘汰了,那时练的卡一定都是最先进的卡。
另外如果有算错的请务必告诉我,非常感谢
#游戏攻略



