工坊挑战S2数据分析
修改于2024/11/25667 浏览玩家攻略
Abstract:本文收集了第二期工坊挑战14周共计42张地图的信息,进行统计与梳理,并在第一期工坊挑战数据分析的基础上,从地图长度、通关率、游玩量、点赞数等多个角度进行了对比分析,总结了一般规律。
Index Terms:工坊挑战;S2;通关率;游玩量;点赞数
§1 免责声明
本文所使用数据全部为创意工坊页面数据,公开可查。由于样本量过少,本文的推测不可避免地带有主观臆测成分,仅供参考,如若后续被证伪,属正常现象。本文的一切内容仅代表个人观点,不存在任何组织立场。本文的数据处理较为粗糙,可信度请自行甄别。本文不是规范的论文格式,也没有参考文献,请勿模仿。
§2 前言
历时14周,第二期工坊挑战(简称S2,下同)终于迎来了尾声。相较于第一期工坊挑战(12周),S2在时间跨度、地图长度等多个方面都有了变化,一些之前总结的经验已不再适用。如下图所示,笔者照例汇集了所有地图的信息,包括但不限于地图id、地图长度、作者区服与id、通关率、游玩量、点赞数、地图最高纪录等信息。相较于S1,此次分析还增加了忍者预设情况与允许接力次数。

收集数据概览
接下来,本文将从多个角度对收集到的信息进行进一步分析,并与S1的数据进行简单对比。
§3.1 地图长度
在此前的数据分析中,已经得出地图长度图3>图2>图1的结论。通过进一步观察分析,笔者在此提出一个新的结论:工坊地图横向与纵向均为从短到长排列,且任务周与竞速周相互独立。具体表现为,对于确定的地图类型(任务/竞速)与地图位置(图1/2/3),短的地图先轮到,长的地图后轮到。不过,对于地图长度相等的轮换先后顺序,目前尚无定论,也可能确实无规律可循。
和S1相比,S2的地图长度有了较大的变化。在S1中,三张图长度的波动范围分别为400-790、824-1021、1049-2534;而在S2,这个数据为250-1000、857-1250、1254-3061,这样的改变不可谓不巨大,S2图1、2压轴的长度足以在S1担当图2、3。结合S2时间跨度长了两周,我们不妨猜测,优质地图的数量足够多,导致了工坊挑战排期变长,地图站位变动、长度增加。从此期工坊挑战来看,除了1000m仍是图2的较优解,做图时不必过于拘泥于地图长度,符合工坊挑战选图要求的地图均有机会进入。
不过笔者多嘴一句,希望地图耗时还是不要太长,避免堆砌地图元素的状况,尽量让地图的各个部分都言之有物。

地图长度数据

工坊挑战地图征集规则
§3.2 通关率
在S1中,通关率的波动范围为9.53%-69.09%;而在S2,这个数据来到了10.46%-85.18%。经过计算,S2地图的平均通关率为34.51%。这从侧面印证了,只要是足以面向大众(即难度不过高且不是水图)的地图,均有机会入选。笔者这里建议任务型地图可以酌情降低通关门槛,这样对冲榜玩家并无影响,且利好只是做任务的玩家。

通关率数据(%)
§3.3 游玩量
同样地,在官方“工坊挑战”活动的加持下,绝大多数地图本身自带的游玩量可以忽略不计。尽管图表中的数据波动幅度较大,但从均值数据仍可以看出,游玩量优势图1>图2>图3。与S1相同,仍是工坊挑战刚开的几周玩家热情较高,总体游玩量趋于稳定。需要指出的是,由于工坊挑战任务要求,开局能很快结束的地图将获得更多的游玩量,数据会异常偏高。另外,与S1总量均值(仅102.6w)对比,S2的地图游玩数据遥遥领先,或许是周年庆吸引了大量新玩家入坑与老玩家回流的缘故吧。

游玩量数据
§3.4 点赞数与点赞率
与S1相似,开始几周的点赞数非常高,之后的点赞数总体趋势下滑,直到第4周左右趋于稳定。其中第8周的图3使用了求赞策略,效果拔群,点赞量相当之高。综合来看,全部地图的点赞均值为9163个;考虑到前两周数据偏高,去除前两周数据后,点赞均值为7968个,可以作为一定的参考。S2的点赞量数据明显好于S1,可能也与上节提到的原因有关。

点赞量数据
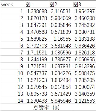
笔者照例还制作了“点赞率”数据。点赞率直接由点赞数与游玩数的比值得到,仅供娱乐,点赞率的高低不一定能说明地图的优秀程度,甚至在很大程度上受到能否开局送掉重开的影响。
可以看到,点赞率前三的地图分别为第8周图3,第14周图2,第2周图2。

点赞率数据
§3.5 其他方面
42位地图作者中,1、2、3服玩家的数量分别为27、14、1,与S1相比(27、9),二服玩家占比上升,三区开服时间较晚,仅有一位作者的地图入选(oo永远爱幽灵,14周图2)。有两位一服作者入选两张地图(她说风乎有点帅,七载凝凝霜ഒ)。21张收集地图中,13张为金币,4张为水果,4张为音符,相比S1(12,5,1),音符地图这个偏冷门赛道入选占比明显上升。本次数据分析还统计了预设忍者与接力次数情况。预设忍者地图19张,不预设忍者地图23张,几乎是五五开的局面,虽然S1没有统计,但预设忍者占比大概是上升的。接力次数方面,不允许接力的地图偏少,允许接力1次与允许接力2次的地图数量相仿,且存在这种趋势:地图长度越长,地图作者越倾向于给出较多的接力次数。

其他方面统计
§4 逸闻
本轮工坊挑战中,有两张图在挑战进行过程中下架,分别为第5周的图2与第12周的图3。本轮挑战出现了多种bug,包括但不限于雷盾状态下吃第二个雷盾不会爆炸、连吃两个磁铁导致第二个磁铁不生效、疾风步无法被传送门正常阻断、磁铁无法正常吸取金币、黑洞无法正常将忍者吸入。本轮挑战中,上期曾大放异彩的老板娘与小椒遗憾失业,唯有六命琳屹立不倒。
§5 总结与致谢
本轮工坊相比于上期,长图、怪图更多,开发压力更大。总的来说,结局还是圆满的,在第二周开始两队工坊小队合流,有了里程碑式的新开始。借用O神的话,牢坊小分队拿下了本期所有的榜一,几乎包揽了所有的前十,群内5张地图入选本次挑战(特别鸣谢:风乎对优质地图的强力推荐!)。对于我本人,也是一个不断学习、进步的过程,群友们对于忍3底层机制鞭辟入里的理解、妙到毫巅的精细操作、迸射火花的思路碰撞,总是让人耳目一新。这里特别感谢O神,引导了小队合流,并且总能找到最好的优化,对地图的分析抽丝剥茧、深入浅出,令人叹为观止;特别感谢软神,总能以最快的速度掌握地图的要领,并以绝妙的操作雕琢每一个细节,在我手残无措之时,成为我坚实的后盾;感谢牢坊小分队的每一个成员,有幸认识各位神,此生不枉牢坊人!最后,希望岁神淡游愉快,有空常回来看看!
S2结束了,S3还会远吗?期待下一次的挑战,让我们迎难而上!



