关于野山林和幽兰古矿采集点分配
2025/05/041764 浏览攻略
前言:这个游戏我也玩了好一段时间了,发现关于游戏内资源获取点一直没有一个很好的规划攻略,然后我决定搜集一些数据自己写一篇攻略。
~-~-~-~-~-~-~-~-~-~-~-~-~-~-~-~-~-~-~-~
关于采集点的基础知识,我就不过多介绍了,又还不懂的朋友们可以去看下风忆雪或者其他一些大佬的攻略。
领地建筑最合理的建造查过其他大佬攻略的应该都知道了,就是集市8个,匠人工坊8个,治愈神殿8个,自然公园,骑士训练营5个,其他建筑每种一个。至于怎么摆放,那就随意了。

这次咱们主要介绍跟领地升级挂钩的两个地方“野山林”和“幽兰古矿”


因为这两个地方的产出效率直接与我们的领地升级挂钩,所以我们有必要合理分配一下采集点,以便让我们的领地升级丝滑。不想看详情的铁汁们直接滑倒末尾就行!
~-~-~-~-~-~-~-~-~-~-~-~-~-~-~-~-~-~-~-~
首先就是我搜集到的最重要是数据,30级资源需求比例和一级采集速度表,至于为什么是比例呢?因为具体数值太多了,所有材料数值又都一样的,所以只要知道需求比例,你一种材料够了就知道其他材料需要多少了![[表情_狗头]](https://img-tc.tapimg.com/market/images/a5aee440f53d1d44bf40658f0983769e.png)
![[表情_狗头]](https://img-tc.tapimg.com/market/images/a5aee440f53d1d44bf40658f0983769e.png)

至于为什么只有30级的,抱歉,再高我也搜集不到了,我还没升到
目前榜一大佬也才27级,你能玩到30级也算是厉害了。
目前榜一大佬也才27级,你能玩到30级也算是厉害了。还有就是因为领地内建筑,每升五级,建筑内就会新增一种新的摆件,需要从1级重新升上来,所以哪怕你前面有很多资源剩余,后面也会很快的消耗掉。


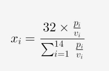
好了,介绍就到这里,接下来就是计算了,我们要根据材料需求比例来计算采集点的分配比例,这个很简单,不过考虑到不同材料的采集速度是不一样的,就要在结合采集速递一起计算。野山林和幽兰古矿分开计算就行。
采集点之间比例为P1:P2:.....:P14
采集速度为V1,V2,V3,......V14
设分给第i种材料的采集点为Xi
具体公式如下:x_i = \frac{32 \times \frac{p_i}{v_i}}{\sum_{i=1}^{14} \frac{p_i}{v_i}}

由此可以计算出该比例材料对采集点的需求

由于采集点必须是整数,且每个地方都有几种不需要工具的采集点,所以我们优先给没法使用工具的采集点向上取整。至于为什么,因为有工具的可以刷50%效率的词条。
其他采集点按照稀缺度适量分配。最终分配下来就是:

总结就是
野山林:
桃心木:2
柳木:3
白杨木:1
橡木:3
枫木:2
椰木:1
龙鳞木:3
灵松木:1
霜藤木:1
水晶槐木:1
噬魂杉木:1
幻影红杉木:3
魔焰木:3
寒铁木:7
幽兰古矿:
铁:5
铜:2
银:2
红石:2
青金石:1
黑曜石:4
炎晶:5
寒冰石:3
雷晶:3
毒蕴石:1
幻晶石:4
这是一个相对采集点分配比例,如果只是选择快速升级领地等级,想自己重新分配的也可以,懒得来回分配的就像我这样,多升级升级所需要材料的仆从就行了,;工具词条的话,树木建议优先寒铁木工具词条,矿石,建议后几种,哪种缺就先给哪种工具刷词条。
好了,到此攻略结束,如果有计算或者数据以及其他不对的地方,还请大家及时支出!

