【猫猫祖师报】宗门加成最全篇——猫猫祖师最细生产规划篇(1)
精华2025/05/252051 浏览游戏攻略
基于猫猫祖师撰写的《最强祖师》3.0仙界版本内卷严重和资源紧缺的环境问题分析与探讨
——创新性探索最优资源获取和利用率的解决方案(1)
一、摘要
本系列文章聚焦《最强祖师》3.0仙界版本中“五行天域”大区玩家面临的资源分配效率低下、内卷加剧等核心问题,以“圣火喵喵教”仙盟盟主“猫猫祖师”的系统性数据整理与实战验证为基础,深度剖析版本环境痛点并提出创新性解决方案。
通过长期追踪版本更新与玩家行为数据,猫猫祖师发现:频繁的活动、新开放的淬体、灵根强化及仙界建筑系统导致资源需求激增,而限时活动、高氪玩家垄断等机制进一步压缩中小氪玩家生存空间,形成“低效循环”困境。



二、震惊祖师学术圈的核心贡献与成果:
- 资源管理模型构建:针对“阵石>符>灵石”的仙界建筑优先级矛盾,结合猫猫祖师整理的30级建筑全资源消耗表,提出“天工阁-符箓坊-炼器阁”动态调整策略,并验证该策略对产出提升率高达18%-23%。
【金山文档 | WPS云文档】 最强祖师 仙界堡垒兵营升级资源统计
- 弟子养成方法论:创新性发展“工作狂+无损传功”定向培养体系,筛选“xx奇才”、“工作狂”等特质弟子,规避“懒惰”“拖延症”等负向怪癖,使中小氪玩家核心战力养成和资源生产和获取效率相比提升135%超以上。
- 加速符经济体系:通过量化分析“春华秋实”活动等多个生产buff收益曲线,确立“加速符阈值”策略,结合多项创新性的优先级规则,实现加速符利用率最大化。

- 实践价值:本研究首次将“五行天域”大区的竞争生态与“圣火喵喵教”社群实践经验结合,为中小氪玩家提供可复用的“控资源节奏-精准分配-可持续突破”策略框架,其提出的建筑升级序列、限时商店兑换优先级表等成果已在该仙盟内部验证,显著缓解“兵营等级缓慢”“阵石黑洞”等版本难题。猫猫祖师通过长达120天的数据采集与策略迭代,系统性揭示了资源内卷的底层逻辑,为同类修仙养成游戏研究提供了重要参考范式。
关键词:资源内卷;加速符经济学;圣火喵喵教;五行天域;无损传功策略
目录
1. 基本情况概述
2. 祖师生产的最细加成
2.1宗门状态
2.2古宝加成
2.3加成建筑
2.4建议与总结
3. 祖师庶务及生产弟子的究极养成
3.1选择原则及途径
3.2怪癖、天赋及特质相对论
3.3建议与总结
4.祖师加速符的最强经济学
4.1加速符获取途径概况
4.2加速符获取途径性价比分析
5.祖师仙界资源的最坑情况概述
本期主讲 第二章 祖师生产的最细加成 “2.1宗门状态”,带大家详细认识下在什么情况下,我们祖师可以吃到最大的生产加成!!!


第2章 祖师生产的最细加成
宗门生产是资源积累和资源加速参考的最重要的指标,关乎到弟子的培养发育和资源获取效率最大比等事宜。
2.1宗门状态
2.2.1 宗门状态简介和可视化生产效率数据分析与参考
宗门状态是我们加速时候参考的最为重要的指标!!!在头像下方可以查看详细。

图1 宗门状态示意图
平时大家也可以查看各个建筑生产效率的总属性图来与盟友等进行对比和专项提升生产效率,下图是生产效率示意图,通过宗门繁荣度页面进行查看。

图 2 宗门各个生产建筑效率示意图
本人该图截于无特殊加成的时期,前期不太注重生产方面,生产效率偏低,低于正常前期就做好规划的大部分玩家。
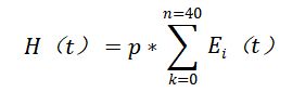
表 1 生产效率最低合格数值参考表

该最低合格标准数据取于本盟抽样40名玩家效率汇总之和后40%分位的效率:

其中,P为百分位,取值=0.4,E在,i=1、2、3...时,分别为灵田、林场、矿场、炼器阁、符箓坊、天工阁的个人生产效率,取样的个数据样本空间见附件。
综上,在无特殊加成的情况下,如若生产效率低于最低合格数值参考的各位祖师,猫猫祖师建议尽快结合以下各个方面去增加效率。
2.2.1 对生产有用的各个加成汇总
1.玉衡会照:
最强的肯定是我们司天仙官的40%二级资源加成!!!!

图 3 玉衡会照buff效果图
2.仙官赐福:
第二强的当然是我们的“福禄仙官”的“仙官赐福”,全生产收益加成20%,(需要同盟且在范围内才可以吃到20%,不同盟则是10%)

图 4 仙官赐福buff效果图
3.常规宗门状态1:如日方升

图 5 如日方升buff效果图
由宗门稳定度(宗门弟子的平均忠诚度)决定,当宗门稳定度高于95时触发,使宗门获取名声值+5%,宗门生产产量 +10%,弟子境界修炼效率 +8%,是宗门产量提升buff主要来源之一,因此在搜刮宗门弟子储物袋要适度,维持宗门的稳定才是繁荣的根本。
4.常规宗门状态2:山门大阵

图 6 山门大阵buff效果图
山门大阵是山海活动开放后,宗门有了自己的护宗大阵伴随产生的加成类buff,同样有着宗门生产产量 +2%的生产提升,目前宗门大阵每提升30级该buff效果提升1级。
5.常规宗门状态3:世家buff
入驻对应的家族会分别获得对应的农务世家/伐木世家/石工世家buff,该buff会根据家族人口规模的增长,加成也会相应的变化,小型家族对应庶务建筑产量+4%,中型家族对应庶务建筑产量+5%,大型家族对应庶务建筑产量+6%。


图 7 世家buff效果图
符箓、炼器、阵法、饲养类世家家族,入驻后不加成对应庶务类建筑产量,而是提升对应庶务弟子相应的庶务技能经验获取能力。
6.荣誉股东:
小月卡荣誉执事附属权益里附带生产加成buff,灵草/灵木/矿石产量+15%。

图 8 荣誉股东buff效果图
氪金不一定变强,但能让你的生产快人15%步。
7.夺魁气运:
大区内有问鼎拿到名次的会获得不同数值的全生产产量加成,最高8%,持续七天还是挺不错的:

图 9 夺魁气运buff效果图
8. 周期性常驻强力buff:周六撒欢
每周六0点自行触发,持续24小时

图 10 周六撒欢buff效果图
9. 万物竞发:
宗门灵田、林地产量提升15%(春华秋实活动驱赶草灵成功后触发,持续4小时)

图 11 万物竞发buff效果图
2.6.2 生产选择
尽可能在多种生产buff同时触发的情况下使用生产符箓和加速符咒。
※组织区内的人在最大收益的时候再一起使用加速
※目前宗门状态吃满的完美状态应该包括:
在某个周六,春华秋实活动期间,驱赶走了草灵后,我的宗门繁荣度很高能吃到那两个常规的生产buff,刚好还在问鼎夺魁的buff时期内,我有荣誉股东月卡,手动有趣配备好了世家buff,盟内的福禄仙官没有忘记打开我们摆阵内的仙官赐福,正好手气爆棚的司天大大抽中了40%二级资源加成!
2.6.3司天buff的相对论
生产就优先40%司天加成,比什么都有用,也不用等春华
- 春华又没有生产加成 只是有那个积分换东西,那个都能换满很简单就做满任务了
- 40%二级资源加成正常是在是5%概率开出来 可遇不可求的
- 推荐兵营堡垒到下一大境界临门一脚的,冲刺一下没问题的
(3) 加速时候换成2h加速拉满,这样资源最多,切记不要12h加速满,后面加速符篇有详细说明
2.6.4摆放位置收益最大化
建筑收益最大化摆放;福禄仙官收益最大化摆放。

图12 朱雀老哥首创绘制的福禄收益最大摆放位置
以上就是本期猫猫祖师的《最强祖师》——宗门加成最全篇——猫猫祖师最细生产规划篇(第一篇)的攻略分享啦!不知道大家是否有所收获呢?如果这份攻略对你有所帮助,还请多多点赞留言,你们的支持是我持续创作的动力!
当然,也欢迎各位在评论区提出疑问或者分享你们自己的游戏心得,让我们一起探讨,共同进步。
有任何想看的攻略内容,也请不要吝啬告诉我哦!
数据不错的话,下期将更新:加速符最细使用篇、最新特质下生产弟子如何选择篇、仙界堡垒升级规划篇——猫猫祖师最细生产规划篇(系列篇章)的攻略等等内容,评论区可以告诉我,猫猫宝子粉丝们想先看哪篇呢!?
本攻略基于个人游戏经验,若有不足之处,还望各位大佬不吝赐教,多多指正。我是猫猫祖师,期待在下一期攻略中,再次与各位相见!咱们下期不见不散!
部分内容参考TP老师的以下攻略,感兴趣的大家可以关注了解TP老师的作品哦~
【TP攻略】宗门生产篇 - 最强祖师游戏攻略 - TapTap 最强祖师论坛
宗门生产是资源积累的重中之重,关乎到弟子的培养发育和宗门发育本篇攻略承接上篇,继续为大家介绍提高生产效率有四个途径:1.庶务技能2.宗门状态3.宗门古宝4.加成建筑中的2、3、4,帮助各位道友,提升宗...

https://www.taptap.cn/moment/597347754523492686


