卖菜赚铜钱(自用参考)
修改于2025/06/27392 浏览游戏攻略

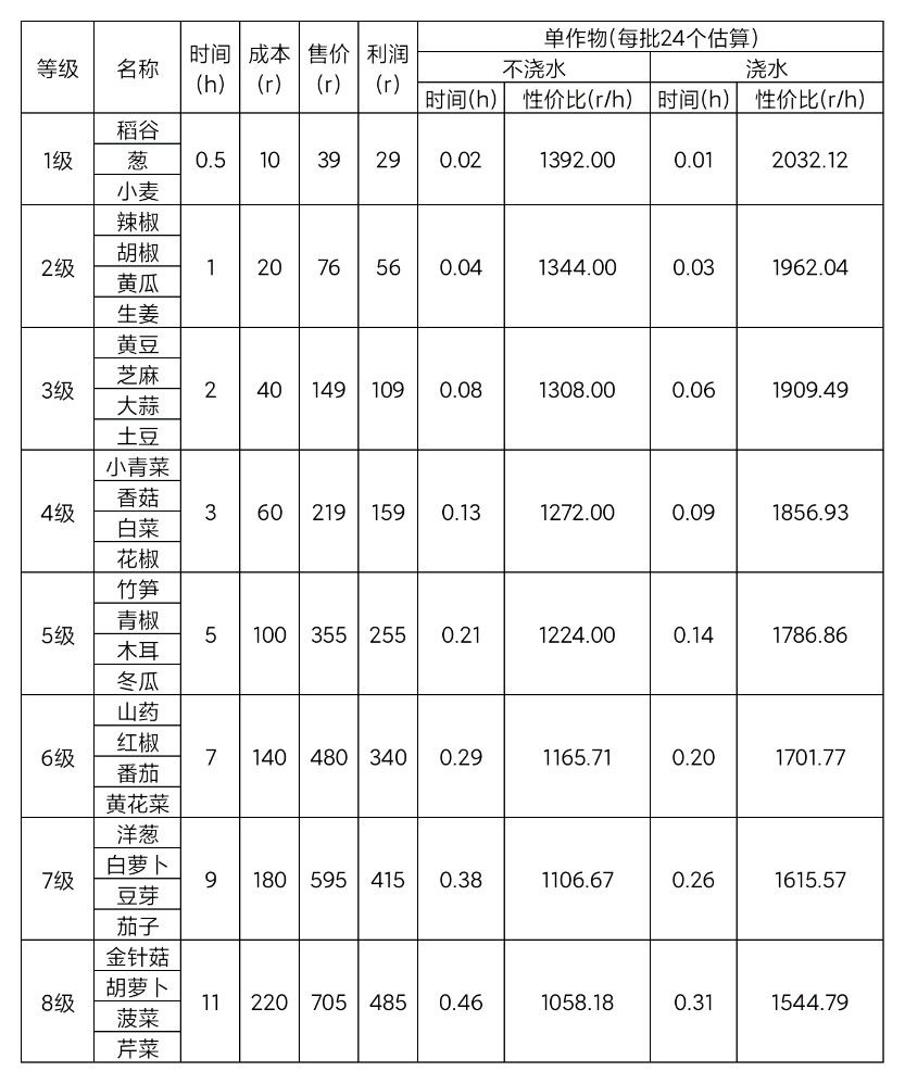
畜肉优先肉元宵,鸡蛋优先荷花蛋,禽鱼优先二级菜(高级食材充足情况下晚上睡觉前种6级7级食材,禽优先老鸭煲,鱼优先剁椒鱼头/松鼠桂鱼),性价比最高为炒米、葱油饼
食谱等级越低用到的菜数量越少效率越高(如飞龙汤,但性价比不如肉元宵)

攻略及数据参考
易玩(上海)网络科技有限公司
公司地址:上海市静安区灵石路 718 号 B1 北楼
注册地址:上海市闵行区紫星路 588 号 2 幢 2122 室
投诉举报邮箱:kefu@taptap.com

