【攻略】穿透怎么叠——新玩家牢玩家都爱看的矿场卡矿攻略
修改于2025/07/292021 浏览飞艇攻略
写在前面:
周年庆快到了,相信各位船长都已经屯好了镐子,迫不及待要释放一波战力了。但战力翻了好多倍,等级提高了,解锁的矿场却不一定能顺利通关了,也就是俗称的“卡矿”。卡矿的原因是什么呢?很有可能是因为穿透力不达标导致的。本篇攻略主要从原理角度出发,推导防御力与穿透对伤害的影响,给出大概的穿透达标标准。
需要注意的是:能不能顺利通过矿区,会不会卡矿,不仅仅与穿透和防御相关,也与矿的血量与攻击力有密切关系,下面给出大概的范围:
矿场1~40级,矿石的防御较低,穿透和防御的对伤害的影响较小;
矿场41~70级,矿场血量提升较快,角色穿透较低,很有可能出现卡矿的现象;
矿场71级以上,矿场血量削弱,只要主线等级提升,大概率可以通过矿场。
因此,本篇攻略主要针对矿场70级以下(不是角色等级)的船长,无论是否在卡矿,都有一定参考的价值哦~
机制分析:
只想知道结果的船长请自动忽略此章节!
根据游戏内指引中公布的伤害计算公式:

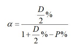
可以得出这样的结论:当穿透力小于防御力时,伤害将会被削减;而穿透力大于防御力时伤害会增加。在矿场,一般情况下主C的穿透力都会小于矿石的防御,所以本篇攻略只考虑穿透力小于防御的情况。也是因为这个原因,霜叶的50%破防尤为重要。经过一些(并不)简单的分析与推导,我们可以得到在矿石防御力超过主C一倍的情况下,霜叶50%破防的伤害加成:

其中a为霜叶减防的增伤比例,D为矿场防御,P为主C穿透。
通过测算同样条件下霜叶对其他角色伤害的加成,根据该角色的穿透,就可以反推出矿石的防御力。经过一些(并不)轻松的计算,我们计算出了41到80级的矿场防御值:

可以看到,在41级以后,矿场每升高一级,矿石的防御力提高200。根据不同等级的防御值,可以计算出不同穿透力对伤害的影响,这里以60级矿场为例:

可以看到,穿透为防御力的95%时就已经损失了将近75%的伤害!换言之,此时只需要提高5%的穿透,就可以提升整整4倍伤害!
所以,根据矿场等级将穿透保持在一个合适的范围内至关重要:既可以保证伤害,也可以将霜叶50%的破防发挥到极致,还可以将省下来的资源投入到其他乘区,如攻击、攻速、暴击、暴伤等等。
结论:
据上述分析,取伤害损失50%为最低可接受范围,可以得出矿场等级对应穿透下限的关系,另外,当穿透大于防御的一半时,多出来的穿透产生的伤害加成与防御力无关,经分析,穿透力超过防御力2100点后边际效应递减明显,收益明显下降,据此可以确定矿场等级对应穿透上限。下面给出计算公式:在下面的条件下穿透力的收益最高:

其中L为矿区等级,P为主C穿透。
注意:
1.这个公式包括霜叶的减防,所以只适合在霜叶或其他能够破防50%的角色上阵时使用
2.防御力计算不只适用于41~80级的矿区,81级及以上也可以通过类似的公式来计算。但穿透达标范围在81级矿区之后不具备普适性,矿区81级以上的船长请谨慎参考。
一些附加内容:
在穿透小于2倍防御的情况下,霜叶的50%破防技能增益最小不会低于100%:即无论怪物防御多高,上霜叶比不上霜叶至少多打100%的伤害;穿透与防御相差越多,增益越接近100%。(不愧是霜叶大人)

