想不想修真· 攻略/群号/链接汇总大全
精华修改于2025/11/101.3 万浏览综合

基础
1.鬼市进入条件

2.红酒的用途

3.正常炼丹炼器时间

4.功德车解释

5.卡收益


6.新手攻略

7.技能升级所需聚灵时间


8.鬼市打劫属性

9.肉木聚灵对应表

10.挂秘籍攻略

11.奖励表

12.门派详细


13.技能点分配


14.部分境界开放功能


15.修真境界表

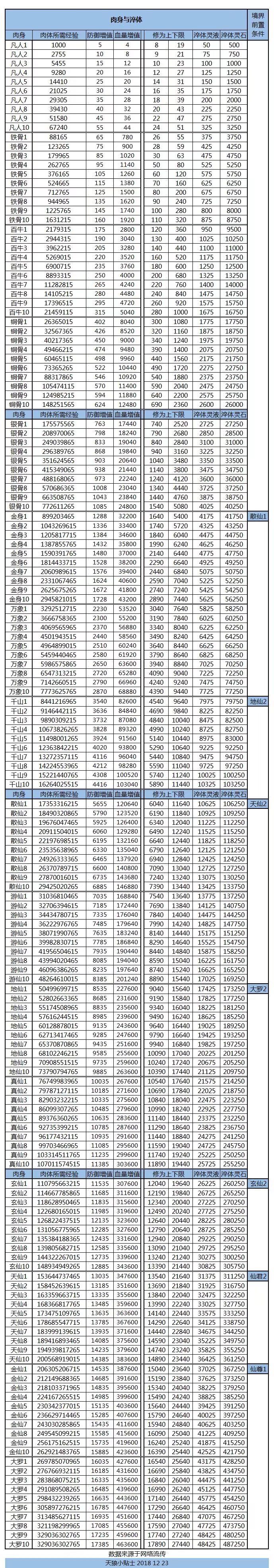
16.肉身淬体表


通用
1.弟子令收益

2.宠物概率

3.宠物升级

4.道圣宗

5.仙兽岛简图

6.各属性提升方式

7.界主/大帝/道主/道君进度




8.龙凤孵化概率

9.龙池凤谷怪属性

10.宠物蛋孵化要求

11.真伤(防)丹

试炼之地
1.试炼攻略

2.火云天

3.金虹天

4.丹阳天

道童
1.道童培养

2.道童灵根对产出的影响

3.道童数量

4.合成室残卷掉落位置

凡间
1.凡间BOSS属性

2.凡间收益

三界
1.三界法会

2.天图收益

3.三界界主属性

4.打界主最低属性(前五个天攻击仅供参考 )


5.过图属性


6.各功德任务建议

7.三界秘境


神界
1.神通点分配

2.神界收益


3.初入神界

4.天书宝卷

5.养神丹与养神丹(灵)区别

6.愿力珠升级

7.愿力司秘术真伤真防表

天外天
1.神通全息玩法

2.天外天小玩法汇总

3.神通氪金攻略

4.三千释国(介绍)
5.三千佛国(梵天净土)

6.菩提果

7.傀儡


域外
1.易物楼清单

2.镇守天关阵法克制

混沌海
1.玄黄球收益表

2.初入混沌

3.道图升级材料消耗表

4.混沌狩猎收益

鸿蒙
1.鸿蒙游历大千世界收益表
2.鸿蒙大世界入门级攻略
3.鸿蒙相关
4.鸿蒙主要概念关系
5.大神通效果

6.境界攻略——帝仙(鸿蒙)《半成品不着急》
7.鸿蒙界主

潮汐
1.每周潮汐自动查
武器
1.仙武

2.本命武器



阵法
1.阵法道童摆放

2.阵法门派

3.阵法师升级所需时间

4.阵法升级所需心得

元神
1.元神渡劫


2.每重所需的元神力

紫府
1.灵台

2.功德树

3.紫府升级


总群群号
Tap总群:1027434871
小米总群:485632127
华为总群∶553211157
九游总群:881577935
vivo总群:879821982
opoo总群:578482332
怪猫总群:473624835
魅族总群:517844381
4399总群:554811924
应用宝总群:1057022472
拇指玩总群:805877514
应用汇总群∶707696760
努比亚总群693835186
麒字服总群:742868165
百度交流群:672210600
iOS萌新指导营:669789559
洞天福地
1.望仙楼

2.自创功法

3.境界对应福地

4.福地丹药功能

5.福地探索奖励


6.福地击杀傀儡奖励

7.福地BOSS属性

链接攻略




