【进阶向】元素穿透溢出收益
修改于02/031974 浏览综合攻略
【前言】
大家好,我是安卓2区的月半鼠。
在咱们勇者这个游戏里,溢出元素穿透是有收益的(护甲穿透溢出无收益)。今天给大家带来一篇溢出元素穿透的研究。目前广为流传的研究是咱公会的twic大佬在将近四年前发布的帖子
【游仙门】元素穿透溢出收益计算,元素穿透详解 - 我的勇者攻略发布区 - TapTap 我的勇者论坛
大家好我是游仙门的twic,如今宝石版本元素穿透暴涨,之前无脑堆叠元素穿透的思路是否有所变化呢?本攻略就来详细研究下元素穿透的算法和收益。首先感谢小ig帮我测得的数据,一开始是使用低伤害武器进行测试...

https://www.taptap.cn/moment/179584881393666252

twic大佬能在早几年伤害较低的时候测出元素穿透溢出收益实属不易。(让我们一起向twic大佬以及参与测试的大佬们表示感谢)现如今伤害数据的量级早已今非昔比,给大家重新测试了一下元素穿透溢出收益并尝试重新拟合计算式。如有问题敬请在评论区指出。(下文中为行文方便,以【元穿】代指【元素穿透】)
更新
经过山海经大服的贪吃猪咪(tap为雨的个人主页 - TapTap)的大佬指出错误并修正,勇者中伤害显示机制为只显示七位有效数字并且只显示整数部分,若伤害数字为七位则小数点部分会进行四舍五入,超过七位数则只显示前七位,后续部分通通不显示,导致误差相比七位数下整整增加了一倍,测的伤害数字并非越高越好,我后续重新测了相应的数据贴在此贴。感谢大佬的批评指正!![[心动小镇_点赞]](https://img-tc.tapimg.com/market/images/17a929b2fb36da6ca1d925a7d08acef9.png)
![[心动小镇_点赞]](https://img-tc.tapimg.com/market/images/17a929b2fb36da6ca1d925a7d08acef9.png)
![[心动小镇_点赞]](https://img-tc.tapimg.com/market/images/17a929b2fb36da6ca1d925a7d08acef9.png)
![[心动小镇_点赞]](https://img-tc.tapimg.com/market/images/17a929b2fb36da6ca1d925a7d08acef9.png)
![[心动小镇_点赞]](https://img-tc.tapimg.com/market/images/17a929b2fb36da6ca1d925a7d08acef9.png)
![[心动小镇_点赞]](https://img-tc.tapimg.com/market/images/17a929b2fb36da6ca1d925a7d08acef9.png)


【省流】
伤害倍率=1+x/(x+4000)
其中,x为溢出的元穿。


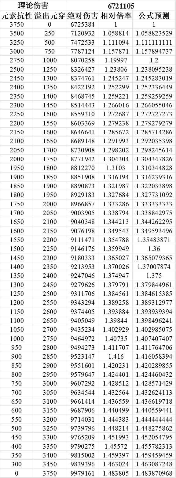
【改进数据】
元穿提升为1500,相比于先前增加了乌鸦星群提供的250元穿达到1500元穿,并计算了按照面板0溢出元穿所得到的理论伤害。


此处使用伤害倍率=1+x/(x+4000)进行拟合。


不难看出,在溢出元穿在0-3750之间使用伤害倍率=1+x/(x+4000)进行拟合误差都极小。
【误差分析】
元素能量等级提供的元穿和宝石提供的元穿并非整值,会在面板上四舍五入后显示,其他的属性亦是如此。我们选取实测0元穿下的基准值会导致数值有所偏差,但是为了防止更多的偏差累积,只能选取0元穿时所测得的伤害作为基准。


【理论】
首先需要知道的是,技能的基础伤害由两部分构成:武器伤害x对应百分比加成+基础值,而武器值通常不是一个固定值,通常在一个范围内波动,点开武器详细会显示,在面板中会显示当前主手武器的最小伤害和最大伤害。假如我们主手没有任何武器,那么武器伤害就为0,即最大伤害和最小伤害均为0,技能的基础值固定,那么技能造成的伤害也就固定了,为我们控制变量法的实现提供了基础。

理论虽是如此,但是宝石上的元穿均是洗练而来,游戏内元穿的洗练是含小数点的,但小数点通常不会显示。测试才用两个步骤测试:首先通过游戏内固定值所能达到的元穿进行测试,然后测试携带宝石后溢出更多的元穿测试,用步骤一拟合的函数去预测携带宝石后达到更高元穿的值,比较二者的趋势。


【测试】
理论成立,第一步我们下掉任何可能导致伤害波动的因素,如法师天赋【奥咒】等。宠物也需要下掉,下掉完可能导致伤害波动的因素后我们可以开一个木桩进行测试,看伤害是否会波动。

测试木桩采用小秘境桩,能够调节元素抗性的值。由于每次造成的伤害不会变动,我们只需要调整元素抗性的值即可。
视频中的元素穿透为1250固定值,分别是2级元穿耳环外装提供105+21的元穿,4颗安朵斯魂珠提供的42*4的元穿,宠物羁绊提供的120元穿,2张饰品魂卡提供的305*2的元穿,60级能量提供的226元穿,一共105+21+42*4+120+305*2+226=1250元穿,以此为基准得到1250内的溢出元穿收益的值。(符文能量给的也不是整数,但是方便我们凑元穿,就拿它当整数了,实际拟合效果也不错)

得到的数据如下:

同时我们可以作出1250元穿下的折线图

得到此表后,下一步就是携带宝石达到3500元穿进行测试.

由于携带宝石需要携带武器,我们可以选择最新的限定【魂契】系列的武器,魂契武器需要手动开启才能获取加成,只要我们不开启魂契,就不会导致伤害变动并且可以镶嵌6颗宝石,我们控制变量测试十分友好。篇幅有限,这里直接贴出测试结果,由于勇者会四舍五入显示数值,此处3500面板在[3499.5,3500.5)间。
下面是第二次3500面板元穿测试的原始数据

对比第一次测出的数据中溢出250,500,750及1250元穿数据可以发现测得3500元穿下相对倍率偏低(在1250元穿散点图中,相同的Δx下,x的起始值越大,y+Δy与y的比率越低),不难看出我的面板元穿应当在[3500,3500.5)之间,这就好办了,数据均为溢出区间。但是咱们主要是看函数的趋势是否拟合实际。


【数据处理】
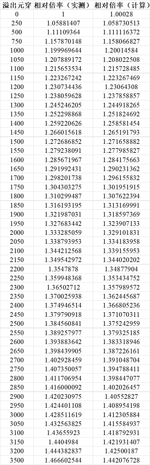
我们先选择twic大佬先前所使用的单指数衰减函数进行拟合

可以发现1250元穿内的拟合效果非常好,接下来选取公式为伤害倍率=1.56362-0.56334e^(-x/2282.19243)对3500组的数据进行预测。


可以发现这个函数在溢出元穿较低时拟合效果不错,但并非实际的溢出元穿函数。


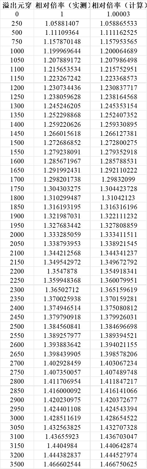
接下来我们选择moba类游戏常用的护甲免伤函数,即反比例型函数进行拟合,同时这也是缺少元穿时所用到的函数。

拟合效果同样非常好,接下来我们选取伤害倍率=1.00003+x/(x+3999.13292)进行3500组的数据预测。


不难看出,在溢出0-3500元穿区间,伤害倍率=1.00003+x/(x+3999.13292)更贴近实际。


最后结论是伤害倍率=1.00003+x/(x+3999.13292),如果有啥问题还请各位大佬在评论区指正!!!感激不尽![[表情_泪目]](https://img-tc.tapimg.com/market/images/210616a5579a37160baaf2d9d0028664.png)
![[表情_泪目]](https://img-tc.tapimg.com/market/images/210616a5579a37160baaf2d9d0028664.png)
![[表情_泪目]](https://img-tc.tapimg.com/market/images/210616a5579a37160baaf2d9d0028664.png)
![[表情_泪目]](https://img-tc.tapimg.com/market/images/210616a5579a37160baaf2d9d0028664.png)
![[表情_泪目]](https://img-tc.tapimg.com/market/images/210616a5579a37160baaf2d9d0028664.png)
![[表情_泪目]](https://img-tc.tapimg.com/market/images/210616a5579a37160baaf2d9d0028664.png)



