[探照灯测试组]实力是如何计算的?
2020/12/20581 浏览攻略
计算公式
20000舰娘经验=1实力
运算bug:实际计算等级=当前等级 1,计算经验值为实际计算等级的累积经验,即1级船为2级船的经验,110级船为111级的经验。
经验查询地址(也可以去舰少资料库查询):
其中,1级船的累积经验为0,100级以后每级升级经验为71800,故111级累积经验为110级累积经验 71800
如果哪天修了这bug应该会出现大范围掉实力现象
推测思路来源:
一艘满级船的实力为101.2左右,而200条1级狗粮=1实力为绝对确定的定论。满级船的累积经验为1953500, 71800后除以20000=101.265,而2级船累积经验为100,两百条为20000经验=1实力,故猜测实际计算等级多了1级,而换算比例为20000经验=1实力
·样本验证
样本一:
起初1000/1000,实力24849 我拆掉100个狗粮的时候,实力24849 我拆掉110个狗粮的时候,实力24848 我拆掉300个狗粮的时候,实力24848 我拆掉310个狗粮的时候,实力24847 每次拆解狗粮都重新登录看实力的,我不在排行榜上 也就是说,大概200个狗粮=1实力
验证计算:
1级狗粮船计算的经验为2级船的累积经验,2级船累积经验为100,200艘船为20000经验=1实力
样本二:
我上个小号进行进一步测试确认
小号1实力,36个船,其中35个1级船 1个18级太太842经验,也就是总经验=16142 36个1级船经验
我逐个拆解1级船,并且每次拆解都重登,刚好拆了15个1级船的时候,实力1→0,也就是说,16142 22个1级船的经验=1实力
验证计算:
此处样本为18级太太 842经验 21个狗粮=1实力
18级太太实际计算等级为19级累积经验为17100,21个狗粮船为2100经验,17100 2100 842=20042=1实力
样本三:
拆解船只:
拆解10艘110级驱逐后,一天不肝船,但获得了94艘狗粮,实力61290→60278,实力下降1012,可知一艘110级船实力,101.57±0.1
样本计算:
110级船累积经验为1953500,111级船累计经验为2025300经验,按20000经验=1实力计算为一艘满级船的实力为101.265符合样本范围
样本四:
之前有人给我说过,舰队实力是每1.8w经验1点实力,但实际上真的是1.8w吗?
我的船舱里111艘满级船,舰队实力是11240,拿这11240去除以111,每条满级船提供的舰队实力是101.261261……,而如果按每1.8w经验1点舰队实力来算的话,1953500除以18000得出来都结果是108.52777……,那么,舰队实力应该不是1.8w经验1点实力才对啊?
样本计算:
110级船累积经验为1953500,111级船累计经验为2025300经验,按20000经验=1实力计算为一艘满级船的实力为101.265符合样本范围
样本五:


样本计算:
样本中100级及以上船只有297艘,后补经验共21324600经验。1~99级船只按 1级经验计算后需补经验为1678400,原有经验为605079578,合计实际经验为628082378,以20000经验=1实力计算为31404.1189实力,与记录中的31401有3实力偏差,估计为样板记录经验时有偏差,或者为计算补充经验时有些数字填错了,不影响整体结果(没时间再复查了,数据量太大)
样本六:

样本计算:
样本中100级及以上船只有604艘,后补经验共43367200经验。1~99级船只按 1级经验计算后需补经验为201700,原有经验为1182436887,合计实际经验为1226005787,以20000经验=1实力计算为61300.28935实力,同样与记录中的61303有3实力偏差,这里是低了,前面是高了,考虑人工计数的可允许误差,故可认可20000经验=1实力
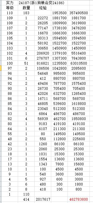
样本七:

样本计算:
样本中100级及以上船只有253艘,后补经验共18165400经验。1~99级船只按 1级经验计算后需补经验为772900,原有经验为464801417,合计实际经验为483739717,以20000经验=1实力计算为24186.98585实力,符合样本。
样本八:

样本计算:
样本中原有经验为735593,后补等级经验为34900,实际经验为770493,以20000经验=1实力计算为38.52465实力,符合样本。
样本九:

样本计算:
样本中原有经验为658331,后补等级经验为30800,实际经验为689131,以20000经验=1实力计算为34.45655实力,符合样本。
样本十:

样本计算:
样本中原有经验为644484,后补等级经验为33300,实际经验为677784,以20000经验=1实力计算为33.8892实力,符合样本。
这边就不放原始数据了(放不了文件),可以符合大数据,基本上结论是没问题的,有兴趣可以算算自己的船舱看看对不对

