【🏆获奖名单🏆】超顶福利 青梅煮酒 特技兑换 大暑活动
Dear
吕粉友友们:
继上次“超顶福利,青梅煮酒,特技兑换,大暑活动”,截止日期到7月21日23:59分的大暑活动已经结束2天多了。各位友友都太有文采了,许多展示了自己的原创,或和夏天有关、或和游戏有关、或和工作室有关,有的甚至和某位开发者工作人员有关等等,押韵方面读起来也是朗朗上口,在此小编给各位一个大大的旋转的赞👍
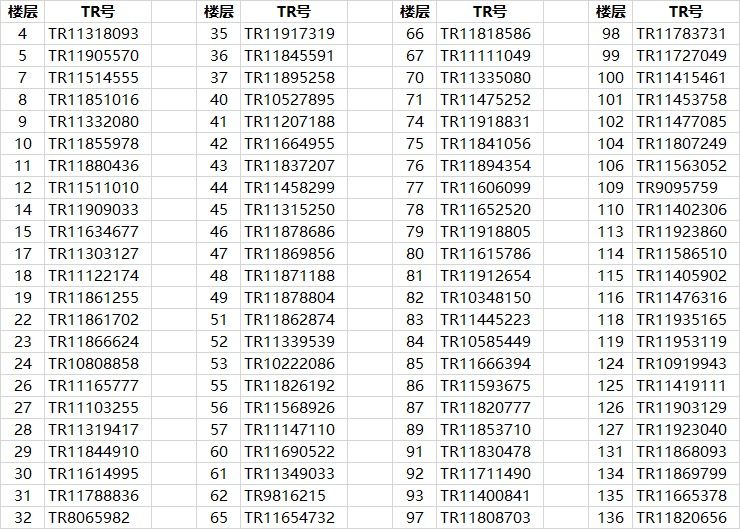
现公布获奖友友名单如下:(请大家核对期间对准活动奖励规则认真看清楚,如有疑问请在规定时间内联系官方,过期不侯喲)

本次获奖统计严格按照活动规则,期间对名单有疑问或者还有别的抄袭可留言举报,公示到7月27日23:59分(过期再有疑问者不侯哦),期间有疑问的可以来到玩家群680841192直接联系群主咨询,官方将会在下周内给最终获奖名单玩家发送青梅哦,让我们一起恭喜获奖伙伴们,并期待奖励的发布吧

