易玩(上海)网络科技有限公司
公司地址:上海市静安区灵石路 718 号 B1 北楼
注册地址:上海市闵行区紫星路 588 号 2 幢 2122 室
投诉举报邮箱:kefu@taptap.com
新人简易攻略
1 进游戏先把邮件领取后,背包唤醒玉兔获得嫦娥英雄,不用考虑直接上阵,前期全靠他输出,背包里的起源之力技能给嫦娥学了,在给技能起源之力升级把书用完。2 然后在无尽之塔用送的点数刚好可以买个VIP2。3 之后就可以去副本地图挂机升级打装备了,机制是一轮打完给奖励,所以尽量都挂在残酷难度,经验多装备好。4 图鉴给的属性也不错,尽量把图鉴都挂起来,叠起来的属性还是很可观的。5 神秘塔每天记得打,
更新预告
【特殊说明】更新大版本号Tap玩家会暂时无法游玩,数据包已上传审核需要一定时间。晚一点会发放全服邮件奖励补偿。着急可以先加入交流群:893894672【更新日志】1.191.离线功能改为手动离线2.修复装备宝石背包3.修复特殊副本奖励不是必掉4.经验、金币副本掉落的材料奖励提高5.材料副本新增 洗炼石掉落新增Debuff列表:嘲讽 - 强制攻击施法者致盲 - 降低命中率70
世界的梦1.18.2
【更新日志】1.18.2修复特殊副本报错修复无尽之塔 - BOSS报错修复章节关卡不掉落技能修复章节关卡掉落装备不计入成就调整日常强化、杀敌奖励查看技能新增 技能冷却显示文本修复离线功能修复扫荡掉落装备不计入图鉴、背包新增章节关卡选择后可查看当前掉落修复全部副本不计入会员加成、副本加成修复章节关卡不掉落技能图鉴新增装备品质替换机制 同名装备 根据品质更新图鉴记录
哥布林祭祀攻略(最低刷、稳定刷)
首先,要清楚伤害计算和命中计算。伤害计算,根据技能公式计算减去对面防御,就是最终伤害。拿狼王为例,图一图二,技能伤害:0.6*(615+826+603+32)*4,等于4982,再减去祭祀防御,最终伤害四千左右。(伤害还是很可观的)命中计算,人物命中/(人物命中+怪物闪避),即命中几率。同样举个例子,直接假设,人物八百命中,怪物四百闪避,命中几率就是800/1200,等于三分之二。目前,普遍
世界的梦攻略解答
新游戏更新很快,攻略在群里,欢迎进群893894672说两个关键,邮箱送的起源之力全给嫦娥,出门都可以乱杀。送的金币把他升到3星所有不懂的新人欢迎提问,我都一一回答#游戏种草计划#游戏讨论#攻略#游戏推荐#游戏福利
游戏不错,记录一下顺便唠嗑[水帖]
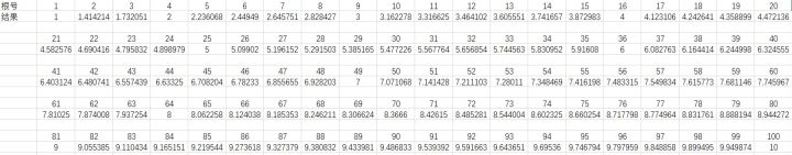
虽然在起步阶段内容不多,祝画的饼早日实现!欢迎新玩家提问,我知道的都会回答的。附100以内根号对照表#杂谈
关于技能
被动技能有必要都学上吗,你们技能都是怎么安排的?
新手开荒阵容推荐&技巧(10.04最新版)
大家进入游戏第一步可以去更多领取邮件,可以拿到目前版本最强DPS嫦娥(主升)以及大量资源可以加入官方群联系管理或者群主,可以领疾风狼王邮箱内还有大量起源之力技能书,千万不要浪费,现阶段值得投资起源之力的英雄就只有嫦娥和魔法少女,每级起源之力增加3维5点,资源消耗每级递增5本,也就是说加的越高性价比越低,推荐加到35级左右就差不多了,大家可以根据需求自行调整完成以上 大家前期阵容就凑够了前期
套装推荐
1.新秀套前面的怪以及任务装备全都是新秀套,很容易收集到7件,但因为打不过疾风狼王,组不全8套。2.花妖套穿着新秀套能打过花妖就刷花妖套,很容易组齐8件。3.悔恨套刷冰雪技能20级以后来到第二层,刷野猪毒蛇月兔爆悔恨套,悔恨套分两套,同样的名字,有的是悔恨的眼泪套装,加物攻,有的是魔的眼泪套装,加魔攻,要注意区分。魔的眼泪普遍比悔恨的眼泪低6评分,是正常现象。4.魔灵套魔灵套要30-
避坑(避免后悔小指南)世界的梦
一,登录游戏后,第一件事是查看邮箱,领取所有奖励。前期福利,不早领会后悔!二,合成的嫦娥重点培养,起源之力大多数给她吃!给初始角色吃会后悔!三,升星需要金币比较多,建议升嫦娥,到四星升五星就需要八十万!前期先升2-3星就可以了,留金币有用。给初始角色升星会后悔!四,前期任务跟着做,奖励丰富,不做任务会后悔!五,前期除了任务,其他时间刷本体的缇丽丝,经验金币丰富,还有技能书(冰雪),前期需要
空空如也
也许宝藏只是换了个藏身之处