时间与贵客率换算比公式(刷玉版)
还是发一下吧:
前排提醒:只提供相对应的换算公式,由于刷菜太快导致的食材短缺请自行斟酌。
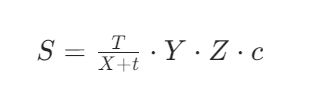
由目前已知信息可得:
S:目标玉璧量
T:刷玉时间
t:收菜上菜时间间隔
c:单次撒玉量
X、Y、Z:单次开业时间、贵客率、暴击率
化简可得:
时间与贵客率、暴击率成正比,与目标玉璧量成反比。
这么说可能不太直观,那么我就代入一下目前刷玉最快的松鼠桂鱼。
可得公式:
T:一天86400s
X:7份356s,x

5
cherry lemon:
因为贵客率补足不可能被倒挂,所以在蓝孔相同的情况下,残雪只提供暴击率不提供额外贵客率。差了5%的时间效率,这辈子刷玉都不可能超过大耳狗,对比双蓝孔的曹操和老君差18%贵客率,就现在的刷玉效率也是不如的。
这个bug爆炒是永远看不见吗?
我反馈了人工客服像个人机,一直说我池子没抽完,我特么又不需要主题,我全部抽完干嘛…我只需要家具更换而已,好久了一直都是这样没法更换,每次要更换就要反复的退出重新登陆游戏,一直卡界面。反馈的让我心梗,人工一直说要抽完坑才能换家具,看得我更心梗
:
主厨您好,该问题已核实,目前您可以在非开业的情况下更换套装。开业时无法正常更换家具套装问题我们将在进行更新修复。



![[表情_微笑]](https://img.tapimg.com/market/images/0f170d4b1ecf80c267e5a44b5992a199.png)

![[表情_举手]](https://img.tapimg.com/market/images/f5a3260d8fbce51f2b52df672cd9be03.png)









