易玩(上海)网络科技有限公司
公司地址:上海市静安区灵石路 718 号 B1 北楼
注册地址:上海市闵行区紫星路 588 号 2 幢 2122 室
投诉举报邮箱:kefu@taptap.com
【无命】迟来的救赎
大家好,我是lt.7 的Silven,一个排行榜上找不到的普通玩家。当时是看了芒果冰视频认识到这款游戏的,所以玩得相对较晚,初入不朽的我尽管连各个兵装的具体效果都还没记清楚,就已经看上这根手杖了(受血源诅咒的影响),而且我对普攻这种朴素的输出方式情有独钟(很爱玩ad),当即决定就是它了。最初因为头铁要在过渡期硬玩无命,进度落下很多,后来转鞭子,又转了3星龙牙总算挺到80级_(:зゝ∠)_===
【绝地石盾攻略】以及实名DISS火焰附魔,
目录:1楼.DISS火焰附魔。2楼.再上绝地石盾攻略BD首先我们了解基本概念,石头锁死三转技能苦修者。因为必带金钟破,带火焰附魔等于副职业选择三转技能,放弃了一个被动技能,以及占用了一个主动技能的位置。先上技能描述:火焰附魔升级只加持续时间,我就不升级了,总之效果大家都看得很清楚,我们暂且理解为24%火属性伤害增幅。对,我之所以圈出来【火属性伤害】,是因为这就是考点,火焰附加要打出输出
新版本基础伤害计算公式
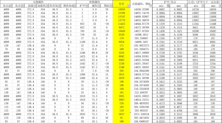
两边都发下吧这次测的结果我也是一脸懵逼:护甲小于攻击的2/3时,基础伤害=攻击/3;护甲大于攻击的2/3时,公式没有变化,基础伤害=攻击*攻击/(护甲*4.5)也就是说,如果你现阶段的攻击目标为10000攻击,那么你1护甲和6000护甲是没有什么区别的....这次改的是护甲小于攻击2/3的情况,攻击带来的收益明显降低了,特别是护甲小于攻击2/9的情况,直接砍了1/3的基础伤害。。。之前
√雷霆之矛之地表最强攻略(持续更新)
前言:注意这个兵装前期是不能玩的,没打到勇者无敌套装前,玩了等于劝退,请谨慎。(我就差点没坚持下去了。)开局还是用大石盾过度,等有套装了,冷却够了,再来玩,毕竟石盾上限在那摆着,后期很多单个BOSS基本都是打超时,想突破,必须转其他兵装。雷霆之矛不是最强的兵装,但是也没大家说的这么弱,只是没搞懂伤害机制罢了。相同的强度装备,雷霆之矛可能不是最优选择,但是我们绝对是这条街上最帅的!!好了进入正题
新手o氪大盾强力玩法
魔龙万神boss集锦(一)
所罗门之眼尸王,魔龙换双持无命巨型恶灵骨灵之精半兽人首领放弃,好在半兽人勇士比较简单。母神,使用魔化被动,火鼠魔化击败三个小怪后让神火作用到母神上即可。骨龙,双持无命,火鼠需要一个边界盲区噬人蜂,打断即可真菌巨人,输出不够,喝个泉水,或是宗师被动换真龙
版本强势bd 格挡反击斧【太弱,求增强】第六篇
大家好,我是阿斧 关注阿斧不迷路本人官服6区 角色名:猎殇一代版本一代神 今天我们来讨论一下最弱的泰坦巨斧,格挡反击斧 这次版本将怪的增幅削弱,将减伤增强 这个收益最“少“的无意于泰坦巨斧 如果官方有幸看见此贴,希望官方能加强一下泰坦巨斧好了言归正传 来说一下泰坦巨斧格挡流的核心玩法 双抗 生命 格挡率 暴击率为核心核心技能 【意志反击】之前的版本由于怪的伤害增幅太高 对格挡流的泰坦
说明一下基础伤害值与护甲攻击的关系
这个帖子是改版前的运算公式,改版后的见新帖真的是不吐不快了在tap看了好几个相关的帖子,基本都在那老牛给的那个4.5系数的公式瞎猜。。。但实际情况根本不是那样的,或者说不完全正确。公式都不对能推出正确结果?想想也知道,如果就单纯的基础伤害=攻击*攻击/(护甲*4.5)这么简单,那么你10000攻击打1级的1护甲怪物那伤害不得上天?实际情况呢?建议各位去试试基础伤害公式的推算我在雷霆村发过
《光影鞭》这估计是最详细的鞭子攻略了吧(大概)
多图警告⚠️多图警告⚠️多图警告⚠️零氪,目前塔越30层,发表一下自己的拙见和对未来发展的一些想法,大家互相交流,相互指正。(主要是被乌拉拉和咔叽给弄怕了,不敢乱充,3000块水花都没溅起一个,体验还差。。)本帖从50级前过度技能推荐,50-70级楼主的搭配技能推荐,70级后的搭配建议(只是猜想,我也没到),推荐词条写起,反正你们没看到自己想要的往下滑就是了一、50级前刺猪前期的神!前期配
【零氪非套路】究极新手开荒一天攻略(版本v1.2.21)
区服:一区 作者ID:天生脸白遭妒注:此攻略不教bd,只是告诉你该干什么,尽量减少不必要的损失,纯粹面向新人,内容仅供参考,欢迎留言交流目录1.游戏介绍2.角色选择3.开局路线4.资源利用5.注意事项一、游戏介绍1.这是玩什么的游戏?答:对于没有暗黑经验的玩家来说,这就是一款自动挂机,上线收资源,副本打装备,不断挑战自己装备和技能组合上限的游戏,对于有暗黑经验的玩家来说,就当做