攻略指南

TapTap
未定事件簿
276 万关注·1.9 万帖子
排序方式
回复时间

先放结论:新版是负优化。

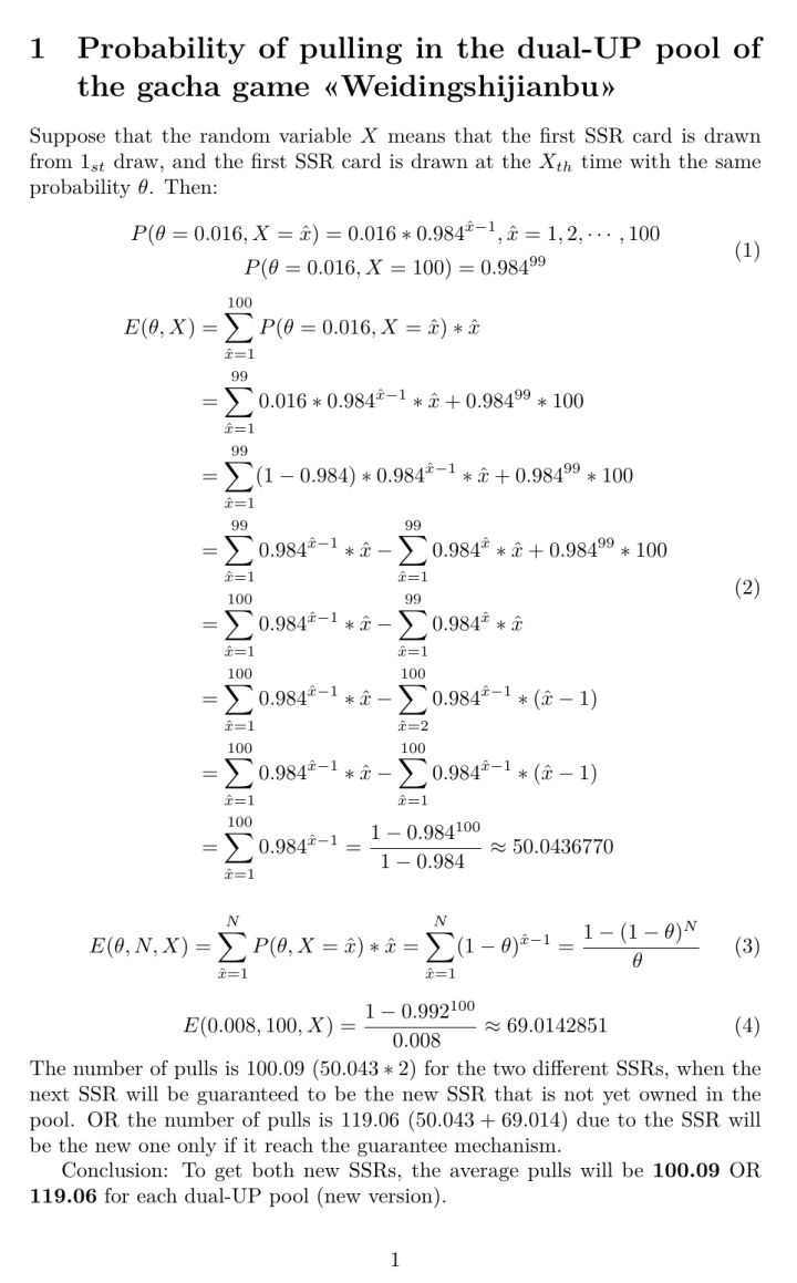
**根据最新消息(来源是氪老的专属客服),双up情况下,抽出卡a后仍有可能出卡a但不消耗保底,直到出卡b。也就是说期望是选择(4.) 119.1的抽数。相比89.5,贵了33.0%。

双UP池(SSR均会打断计票123,余票用来买188的ssr。循环使用贪心模式:每轮出了1SSR之后才用票):
1.能存票的不保new的每抽1.6%(0水位0票开抽) = 102.2 (116.3···51.7票)
2.能存票的不保new的每抽1.6%(无限循环取平均)= 89.5
3.每抽1.6%+100保底+第二张SSR保new = 100.1
4.每抽1.6%+100保底+第二张保底的SSR保new = 119.1
5.综合概率含保底1.6%保new = 125

生日池(0.3*2的两个SSR会打断计票123,余票用来买128的生日ssr):
1.能存票的不保new的每抽1.0%(0水位0票开抽) = 50.4 (61.7···28.5票)
2.能存票的不保new的每抽1.0%(无限循环取平均)= 43.7
3.每抽1.0%+90保底 = 59.53

4SSR池(4个SSR会打断计票123,余票用来买188的ssr。无法循环):
1.能存票的不保new的每抽2.0~0.8%(0水位0票开抽) = 166.3(178.5···55.5票)
2.无
3.四个单独池子每抽0.8%+100保底 = 276.04


只能放9图,我凑合放吧。
图0是结论。图1是双up池原版0水位0票开抽期望,图2是图1模型举例20个人抽,图3是双up池原版无限循环期望,图4(缺)是图3模型举例10个人抽,图5是新版双up理论期望,图6(缺)是模拟图5的理论(发现模拟的ok没问题),图7是生日池原版0水位0票开抽期望,图8(缺)是图7模型举例20个人抽,图9是生日池无限循环期望,图10是图9模型举例10个人抽,图11(缺)是新版生日池理论期望。图12(缺)是4SSR池原版0水位0票开抽期望,图13是图12模型举例10个人抽。

最后的最后,懂一些英语应该就能看懂了。count指抽到的ssr计数,remainPiao是余票。

TapTap
TapTap
TapTap
TapTap
TapTap
TapTap
TapTap
TapTap
TapTap