易玩(上海)网络科技有限公司
公司地址:上海市静安区灵石路 718 号 B1 北楼
注册地址:上海市闵行区紫星路 588 号 2 幢 2122 室
投诉举报邮箱:kefu@taptap.com
排位或匹配危害性操作类型科普
危害性大小与排名无关1.窥屏:你游知名玩家在平台直播时没有延迟推流,一些玩家利用直播窥屏以图局外获悉完全透明战场局势2.卡房:13/14,在排位组局后故意不按准备键,目前只有禁排位时限惩罚,而无法对惯犯uid公开惩罚3.过载日边:一部分玩家恶意利用游戏漏洞机制来前出攻击及规避敌方攻击,而guan方无力修复4.高选低:仅限排位对局,部分玩家因无船或者单纯恶意在高权对局选择低权船来造成对位劣势
弗吉尼亚
13.2km水隐11.62空隐10.8副炮射程开个加力近似40节面板转向半径990,但实战必定过1000,转身即爆炸此次我建议双副炮无他,顶权新神
来辣
数据库施工第零阶段七至顶权战列,后续会继续补充ps:缺不少数据,此生考虑一下把副炮射速标伤等等数据给一下?
鸭子简评
机动起飞,9.0隐蔽优秀,核心防护优于伊利,但侧面依旧容易爆炸。别惦记着那点满10km的副炮做直伤,最好最好就是点火工具和对32壳能有点蚊子腿最终衣阿华还是进化为了拉侧船
战列如何有效命中日边过载战列
前言 日边开启过载能刷新航速本质是一个bug,在竞技类游戏恶意利用bug是可耻的行为。许多玩家都知道怎么卡这个bug,但是不屑于去使用,也不屑于去传播。会的人越少,用的人也就越少。但最近某舰队公然传播bug并使用此bug,因此制作本期基础教学-----如何有效命中过载日边战列。视频版:BV1Ge4y1A7s4过载日边的本质 过载日边,绕不开的是过载和日边。过载即为引擎过载,常见于法系舰船消
大拿活动单刷
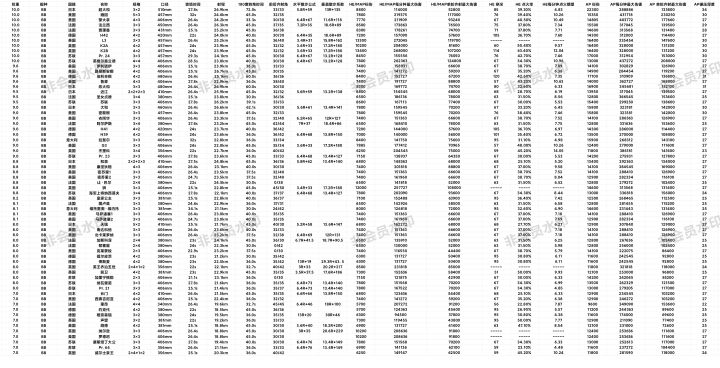
战舰联盟环球竞技场战列舰节奏榜2023.1.14
仅针对环球竞技场环境排行高低不代表单船强度,综合了特定阵容强度和泛用性,仅代表个人观点10.0房法兰西:性能最均衡的10级战列舰,无显著缺点,极高的弹速赋予其对任何目标的优秀的持续输出效率,可称万金油船24工程:非常硬且爆发输出极高的船,和法兰西相比拥有前压的资本且主炮穿深标伤更高,但24工程he输出极弱且机动性不佳超大和:510不砍永远不会下t1英格尔曼兰德:多bb水面局t1,航母局
裤子打活动真爽,来了个8848,开局拉烟然后捕鱼,辽宁就比较悲催了,沉了的那个亏死,还是26开头的本身就没多少金币。﹏。
南达科他简评
上个星期出的杰里科还是巧克力味的矢,这次的南达科他直接就是矢装甲存在核心区外溢问题,会被任何口径ap爆核心,而且就算修了这个问题,310主装和超高超宽核心的组合也绝对不算好事,甚至南达还是个比大和好不了多少的圆润的屁股,距离稍微近一点就很容易被乱穿核心。更鶸智的是南达的主炮是没有轻弹的mk6,这门炮在北卡身上想必大家已经很熟悉了,弹速极慢依赖近战,北卡还可以凭借极低的核心区高度和优秀的隐蔽骑上去