易玩(上海)网络科技有限公司
公司地址:上海市静安区灵石路 718 号 B1 北楼
注册地址:上海市闵行区紫星路 588 号 2 幢 2122 室
投诉举报邮箱:kefu@taptap.com
和大佬一起走过的日子斜眼笑斜眼笑斜眼笑斜眼笑斜眼笑
想不想修真 修为流 里程碑
1. 开门三件套:残阳+紫霞+青云。2. 门派秘诀:2+3+1+3+3+16+13+10(+1)+2(+6)+9+8= 77本,包括顶楼氪金6+1。3. 三界秘诀:33+19+15=67本。4. 天外天秘诀:18本。5. 悟道茶:2461 -- 鸿蒙无名第十八卷。6. 淬体:圣人之躯。7. 至交,法会,门派,宗门[掌门副掌门额外2.5]。8. 道圣+望仙楼。9. 道童神通:24本。
终于骑上鸿蒙了|•'-'•)و✧ 恶91200年青云记录
龙君也是吃上饼了
这就圣人了吃瓜
成圣前的最后一次记录
准圣十了记录一下#发现好游戏
万神纪-修仙记
修真界是天才泱泱,阴阳交汇发出光芒。三千大道证在身上,太初混元 诸圣引动天象。时间长河来去匆忙,一叶扁舟凶祸暗藏。溯洄源头论道一场,见证混沌 重开的模样。凡世焦源山,仙界三十三重天,也不曾畏惧神界的艰险,战袍披在肩,秘境遗迹把天翻,只为寻得成圣的条件。凡人之躯 比肩神明岂非容易,淬肉体 金身法相为大道根基。天外天里 访先贤圣者足迹,有一朝 渡劫羽化成仙而去。神魔
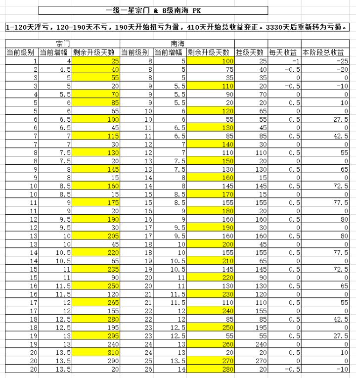
鬼区一星宗门应不应该建
先说结论,三个人建一星宗门,划算!鬼区4万多年,能建宗门了,但是不知道是赚是亏,特地查数据做了一个计算。已经开了小世界,对矿脉需要不迫切,对修炼场更有兴趣。所以针对修炼场做的计算。数据说明:宗门修炼场每日增长经验:40+10×福地星级。升级所需经验:1级1250,后面每级增加750。南海修炼场每日增加经验1。升级所需经验:1级30,后面每级增加10。那么在不考虑宗门狩猎的情况下,南海,
打听个事,就是我经常在论坛里面看到有人用的想不想修真有一个App可以看到各种衣服合成材料升级材料之类的辅助软件,是什么软件啊。歇歇
《想不想修真:凡人传说》新手入坑完全攻略(多图流量党慎入)
为了让各位萌新前期少走弯路,知道该留什么该舍什么,在这里为大家奉上一篇纯新手攻略,如果你刚下载游戏或者才到筑基期刚熟悉游戏的话,这篇攻略再合适不过了。如果你也在一区盘古区的话,可以填写我的接引码,这样你可以获得1000灵石奖励,在前期很有用,不过接引码在筑基期后才可以填写,筑基期之后第一页会有一个“接引道人”按钮,点开后在下方填写即可。《想不想修真:凡人传说》是一个修仙挂机类的联网型单机手游,
攻略向《愿力使用推荐》
<米4、UU>本攻略讲述:神通体系划分与愿力使用方向上的个人见解。<目录>一、愿力获取途径二、神通体系三、愿力推荐使用四、后期神通展望。__________________________>一、愿力获取途径主要为地神(天将低保),天神(星君),神界界主,天尊(仕官),及额外的愿力来源愿力车。这方面内容就不详说了,具体可看天涯道友的大型神界攻略。https://www.tapta