简单数学支撑的两种附魔公式思路之选取
修改于2021/03/151931 浏览攻略

嗨,这里是一只无悔擦地的铁画
作为一个附魔师,如何在不可能做到稳附的情况下,将成功率尽可能的提高,是一门必修课
很多师傅在教徒弟时,大都会简单的总结,如何去提高成功率,最为重要也是很多人念念不忘的一点,就是
先在低倍率的状态下尽可能的将潜力使用,而减少高倍率状态下潜力的消耗
如果觉得我的表述不是很明确,我们直接上公式来分析

这个一般适用于狂战大剑的通用附魔就是很经典的例子。我们先在倍率还未提升的时候,将爆伤%尽可能的拉高,减少了后续因为倍率提升而带来的不必要的损耗,使得成功率更高
这一经验之谈非常好用,以至于在有的时候,很多人忘记了
没有绝对的真理,只有相对的真理
我们接着来看下一个例子,20版本原属魔侦大剑对属附魔

这也是完全按照上述方法完成的附魔公式,5%atk93%单条成功率,包括我自己一开始推这一公式,还有雨下的附魔帖子内的原属对属大剑公式,都是这样的模式
但是后来,我发现这样并不是最高的成功率,我们可以对步骤做一定程度上的改动

最终我们的成功率达到了98%单条,比原先高了5%
在这一新的附魔思路下,我们并不在低倍率时尽可能的消耗潜力,而是在尽可能的保留我们原本的潜力,最终一步到位
这无疑和原先最大众的思路是不一样的,但是为何在这种情况下,我们保留潜力到最后能起到提高成功率的作用呢
这时候我们应该从附魔成功率的公式入手研究
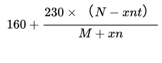
首先我们将倒数第二步遗留的潜力记作M,最终的潜力记作N,那么我们附魔成功率的公式就是

我们从成功率公式出发,不难发现,在最终剩余潜力是负数的情况下
第一种思路是,减小M,减小N的绝对值
第二种思路是,增加M,增加N的绝对值
通过这样的归纳,我们可以发现,所有的不需要边退边附的附魔公式所采用的增加成功率的方法,都可以归结到这两类方式里
举个例子,我们平时在退潜后分步附魔暴击,这就是第一种的思路,减小了倒数第二步的M值,却也减小了N的绝对值,最终提高了成功率
这时候我们必然会提出疑问,这两种思路,如何进行选择呢,我们怎么知道写出一个公式的框架后,采用第一种还是第二种方式来进行优化呢
那么我们假设,我们按照第一种思路写出了一个附魔公式,
在这个公式里,我们将最终整个公式的倍率记作1+t,也就是说最终一步里,你附魔1个项目的潜力值会比第一步附魔相同项目多花费t倍
我们将我们要从第一步移动到最后一步的那一个附魔项,每1数值需要耗费的潜力值记作n
我们将从第一步移到最后一步进行的附魔项的数值数记作x
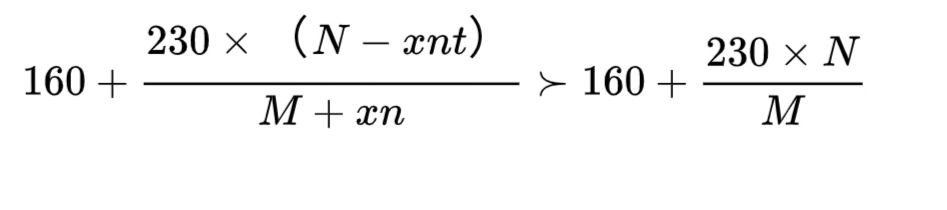
那么我们就得到了我们改动后的成功率公式

我们的目的是,现在改动后,我们的成功率会上升,所以我们的新成功率一定要满足以下式子

此时按照我们附魔的实际情况
N是负整数,
M,x,n是正整数,
t是在取值范围(0,1)中的一个小数
所以我们将这一不等式直接化简为

也就是说,如果负的遗留潜力×(倍率-1)要大于最终潜力,那我们就应该才用第二种思路,反之则是第一种思路,各位可以自行验算一下(瘫)
(p.s.同时要考虑实际操作能否达成的问题)
总结:
不需要边附边退的附魔提高成功率的方式被分为两种方式,一种是提高倒数第二步留潜,另一种是降低倒数第二步留潜,当你写出公式后,如果满足上述-Mt>N的情况,可以在保证实际操作可行性的情况下,采用第二种方式。
如果有任何错漏之处,请大家帮忙指出啦

