(3月10日更新)应该是目前最准确的数据大全集
精华修改于2023/05/2940 万浏览综合
iOS4区-近江道人向各位问好。
注:190级以上道童信息等待更新中。
更新记录:
2019年:
3月10日更新:添加了190级道童的每日收益(的预期值),已紧急修复了致命错误
3月9日更新:添加了190级道童。来源:https://www.taptap.com/topic/5215664,并且在图内标注。
3月4日更新:添加了攻防闪速技能的属性值。本想有更好的排版方式,结果发现依然是之前这种类型更合适一些,所以看起来可能排版没有太大变化。
3月3日更新:添加了道童每日收获的预期值,同时修正了水道童每日经验的(相对)精确值;添加了仙兽坊相关说明(本来是想做全表的,结果发现和洗髓池基本一致,所以只留下了文字描述)
2月21日更新:更换了三界名录的图,篇幅大幅得到缩减。此外把之前做在文档里面的大量数据全部放上来了。包括等级、养魂、淬体、洞府等等等等。数据量巨大,请谨慎阅读。
2月20日更新:添加了三界界主每天收益、更换了三界仙官功德的图片(进行了重新排版)
1月20日更新:添加了160级道童。来源:https://www.taptap.com/topic/4773875,并且在图内标注。
1月5日更新:更换了原有的炼丹炼器内容,现在的表格更紧凑、更不容易出现看不清的情况。
1月4日更新:修正道童名录图、重新制作了门派总录图、编辑了这篇帖子的排版。
2018年:
12月31日更新:添加了130级道童。来源:https://www.taptap.com/topic/4606790,并且在图内标注;补上了道童“墨兰”;补上了道童“苏哲”;再一次补充了130级道童。来源:https://www.taptap.com/topic/4611235。另外,本帖131楼道友罅雾指出,今天新出的两位道童解锁等级为21级,在此更正。
12月29日更新:补上了120级为止的道童更名情况。
12月26日更新:添加了炼丹炼器相关内容。
12月25日更新:添加了三界各图产出。
12月19日更新:添加了道童篇、三界星君仕官boss的功德和对应属性。
12月16日更新:修正图片的显示错误。
12月16日:门派总录初版。
本帖包含的各类信息解说:
·这个版块的目的只是大致对部分内容进行讲解,并不是目录。
·炼丹炼器:对已有的知识进行了整合,包含丹方、图纸、材料来源等。想要补充的内容已经写在图里了。
·门派总录:明确了各门派对应的境界等级、确认了七星门派是按境界逐步开放的、更正了之前流传版本存在的其他错误。
·道童名录:补全了之前流传版本缺失的71~120级对应解锁道童、更正了道童现版本对应的名称。同样是颜色和等级相对应。现版本道童更名已经补上,160级解锁道童已更新,但是160以上的世界仍然未知。
·只要是能收集到的,都包含在这篇帖子里面。只不过收集总会有缺漏,可能会有没涉及到的领域。
本帖的数据来源:
一部分来自醉卧大佬的提供,一部分来自流传版本,本人只将其整理归纳,如有冒犯敬请谅解、联系侵删。如有错误或者疑问,欢迎提出。
希望对你们的飞升之路有所帮助。
图片均可点击放大,如果点开大图还是看不清,请及时联系我。
论坛这边只能放图片版,如果想要word/excel版的、以及其他各类资料,欢迎各区道友进群771909341交流。醉卧大佬欢迎各位道友的到来。
【三界产出】

【炼丹炼器】

【道童名录】

【道童每日产出】
分为ios120版本、安卓130版本、安卓160版本、安卓190版本,其中ios120版本不含后续版本开放的21级水道童(不用手动减去那两个道童了。)
之前版本的190级错误已经紧急修复

【门派总录】

【功法属性】

【技能点】
这个是数据库唯一找不到的内容,全靠经验和记忆写下,可能是老版本的情况了。有说法表示41-75都是819200声望,应该是可靠的。
下图不想更改了(除了这个区间内的有一些争议,其余应该都没有问题)也不再接受相同问题的询问,见谅。

【三界名录】
仕官:

界主:

星君和npc界主boss:
天界:

冥界和魔界:

【养魂】

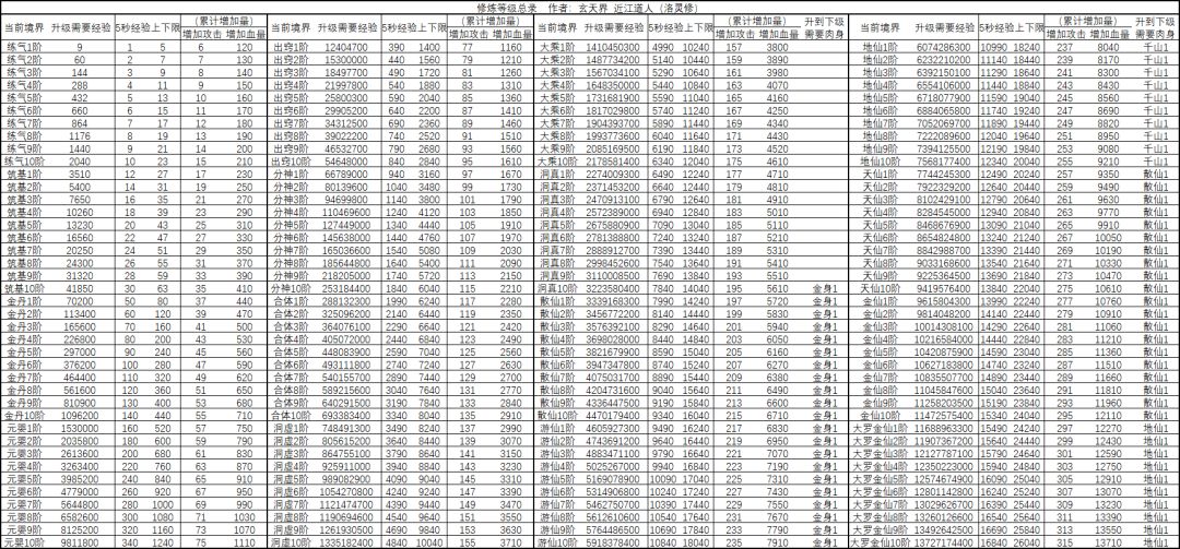
【修炼等级】
限于篇幅,后面省略。大罗之后依次是:玄仙、仙君、仙尊、准帝仙、帝仙、准圣、圣人、X转圣人(X=1,2,3...)

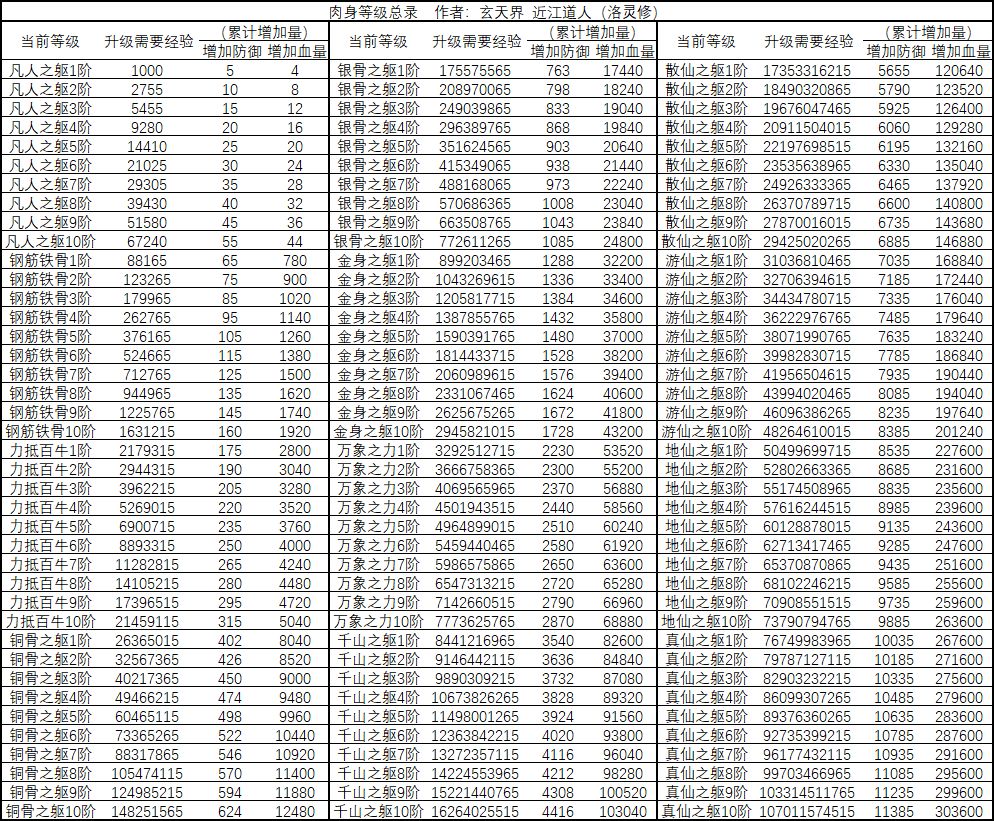
【肉身等级】
限于篇幅,后面省略。真仙之后依次是:玄仙之躯、天仙之躯、金仙之躯、大罗之躯……

【淬体等级】
限于篇幅,后面省略。名称和肉身对不起来,我也不知道是什么原因,可能是bug。

【洗髓池】

【仙兽坊】
仙兽坊升级需要材料和上面的洗髓池各等级完全一样
容纳数量:0级为3个、其余各等级的容纳数量=3+(x/3),其中x为仙兽坊等级,如果除不尽就向上取整,满级同样也是250级。
【聚灵阵】
限于篇幅,后面省略。


【灵根等级】
限于篇幅,后面省略。

【洞府(肉木草铁)】
限于篇幅,后面省略。
注意:草铁上限据说不止100级,但是我手里的信息只有这些。请以实际情况为准





