暴走防御减伤计算公式
精华修改于2019/03/041.6 万浏览综合
大家都知道防御暴走的防御减伤在50防以上的时候出现了衰减,对于具体不同防御的减伤值有多少?到底该防御堆到多少合适呢?为了解决这些问题,本人与暴二的沧海横流(我们都称呼为三千)大佬进行了一次测试,并将结果整理如下,如果没有兴趣看推导过程,可跳过直接看结论。
首先是源数据,上截图


说明:1、因为我轮回过了,经脉有破防,经过我之前的测试,PVP破防效果为80%,所以这里需要将防御扣除掉8点破防,实际起作用的我称为折算防御。2、减伤比例由实际伤害除以理论伤害得出,理论伤害计算公式我会另开帖说明。
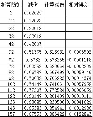
为了便于理解,将过程数据隐藏掉,于是上表修正如下

由上图可以确认在防御50点以下时,一点防御对应1%的减伤,50以上时开始衰减。根据以上数据进行拟合,得出了50以上防御计算公式:y = 0.3370542 Ln(x) - 0.8177861
式中:x——防御值 y——减伤比例
对以上公式进行复核,结果如下:

可以看出该公式的误差为万分之几,可信度很高。但在143防的时候误差增大,157防时计算结果偏高,即157防时减伤衰减更明显了。
对防御公式求导,可得出每点防御的减伤比例为y=0.3370542/x,本文制作了一个表格供大家参考,见结论部分。
对于157防时结果误差太大,推测为防御超过150后另有计算公式。根据公式计算出150防时的减伤,计算出151-157之间平均每点防御减伤比例为0.064%,而150防时每点减伤0.225%,由此看出150防后衰减极为严重,不建议堆更高的防御。
结论:1、防御计算:以破防后的防御进行计算,防御低于50时,每点防御减伤为1%,防御高于50时,计算公式为:y = 0.3370542 Ln(x) - 0.8177861 ,该公式可用至150防。2、建议最高防御不超过150(扣除破防之后的),此条基本上只有氪金大佬需要看看。3、每点防御对应的减伤比例表,大家可以对照自行考虑,在自己承受的范围内选择比较划算的防御装备。

鸣谢:特别感谢暴二 三千大佬的鼎力支持!


