【数据党】什么时候用盖亚的钥匙比较稳?——限定池中钻石投入与产出的关系分析(上)(4月15日更新)
精华修改于2020/05/144225 浏览综合
#-- 最后更新于: 2020年4月15日 --#
(最新的更新请翻至文章末尾)
#-- 以下更新于: 2020年4月15日 --#
待在R3八百多层一个多星期了,一直没有等到需要的up池子,昨天(周一)看到这周又不是我需要的up,打算用把盖亚的钥匙抽布姐(布姐最近一次up钻石不够没抽几个)。
本文预设为钻石限定池抽取(每周up/盖亚的钥匙),仅考虑概率提升的SSR英雄,使用概率为单次1.4%,保底机制为若连续99次未出则第100次必出。
本文主要介绍了:
① 一种使用动态规划算法的保底机制下概率计算方法;
② 不同抽取次数下,获得up英雄的数量及概率;
③ 指定概率下,至少获得一定数量的up英雄,需要的抽取次数;
④ 不同抽取次数下,触发保底的次数及概率;
⑤ 保底机制下抽卡的综合概率;
⑥ 使用Python网络爬虫获取每周up英雄;
⑦ 一次抽卡实录。
文章篇幅较长,而且TapTap写太多了会溢出,所以本攻略将分为上(①②③)、下(④⑤⑥⑦)两节,可按需阅读。(或者直接看每一部分的总结)
一、带有保底机制的概率计算
(本部分仅介绍算法实现思路,没有兴趣可以跳过)
不太会用数学方法计算这种带保底的概率(概率统计没学好),就写个代码暴力解一下。算法思路如下:
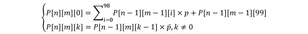
使用动态规划算法,状态表为P[N_MAX][M_MAX][K_MAX],记录<抽取次数、抽中次数、本次及之前连续未抽中次数>对应情况的概率,深搜即可。由于数据量不大(抽2000(N_MAX)次必定可获得足够升到炫彩+的本体数量,估计最高抽中次数在60(M_MAX)左右,K_MAX显然为100),即便使用double数组,也就占不到100MB内存,故没有进行空间优化(其实就是懒);而实测运行时间很快(一般不超过500ms),也就没有进行剪枝优化或状态转存。
初始条件:

其中startK为初始状态下保底池中已经有的次数。
转移方程:

其中p与\bar{p}分别为单次抽中概率与单次未抽中概率,在这里分别是1.4%与98.6%。
最终结果:

其中p_{n,m}为抽取n次抽中m次的概率。
事实上,还可以使用运算得到的状态表计算一些其他信息,例如抽取完成后保底池存留次数的期望、抽取过程中触发的保底次数、指定抽取次数下获得至少某一数量英雄的概率……在此处就不再赘述。
附源码,欢迎交流讨论~
二、抽取次数与获得限定英雄数量之间的概率关系
利用第一部分提到的方法,我们可以轻松地计算出不同次数下,获得指定数量英雄的概率及累计概率(指获得至少指定数量的英雄)。直接上图:
如果家底比较少(14k钻~84k钻),你有可能把英雄橙->金+或彩->炫彩+,可以看这张图:

#表1:100-580抽获得限定英雄数量及概率
注:
① 表格行标题为抽取获得限定英雄的个数,列标题为抽取的次数
② 预设抽取次数为0时,保底池中的次数也为0。若保底池中次数不为零(设为k),可用表中抽取n + k / 2的概率估算(经验规律,在概率不低于20%时,相对误差小于10%)。例如保底池中已经有80发,抽300发的概率就可以用表中340对应行估计。
③ “概率”指抽中对应数量限定英雄的概率,“累计概率”指抽中不少于对应数量限定英雄的概率。
④ 对于每一个“概率”行,已将其中的最大值加粗,代表最有可能抽到对应数量的限定英雄。
⑤ 由于设置格式为显示一位小数,存在将99.99%显示为100.0%以及将0.01%显示为0.0%的可能。
⑥ 上述注释适用于本部分所有表格(表1、2、3),不再重复说明。
如果家底丰厚(84k钻~154k钻),你直接抽到炫彩+也是有可能的,如图:

#表2:600-1080抽获得限定英雄数量及概率
如果你钻石多的没处花(154k~224k),你基本可以稳定毕业一个英雄了,如图:

#表3:1100-1580抽获得限定英雄数量及概率
本部分结论:上面三张图
三、至少获得一定数量的限定英雄,不同概率与需要的抽取次数之间的关系
在上一部分中,你可以看到砸多少宝石能有多少收获;这一部分里,我们来看一看如果想要升金+/彩+/炫彩+要攒多少钻石。
说直白一点,如果上一部分是“x抽取次数——y获得数量——z概率”的三维关系,这一部分就是“x获得数量——y概率——z抽取次数”的三维关系。还是直接上图:

#表4:至少获得一定数量的限定英雄,不同概率与需要的抽取次数之间的关系
注:
① 表中列标题为至少获取限定英雄的数量,行标题为概率下界。例如当抽取次数达到1653时,就有至少99.99%的概率获得至少20个限定英雄。
② 预设抽取次数为0时,保底池中的次数也为0。
大家可以按需使用这个表格,例如当需要10个本体毕业的时候:如果自己是个欧皇,可以看30%那一列,攒479发的钻石就开抽;如果自己是个非酋,可以看95%那一列,攒725发钻石再开抽;如果就是普通人,攒上600发的钻石开抽就可以了(即便抽不满,还有成就送的钻石、自选卡能补)。
另外观察表格可以发现很有意思的一点:在表格的中间部分,同一列中上下相邻的两个数的差都在55左右,这意味着同一概率前提下,差不多每投入55发就可以多获得1个SSR。而事实真的如此吗?这将在第五部分中进行讨论。
————————————分割线————————————
本攻略的上半节到此就结束了,感谢你看到这里~
相关攻略:
PS:如果你对本攻略有任何疑问、意见或建议,欢迎在评论区告诉我~
PPS:码字不易,如果本篇攻略对你有帮助的话,留个赞呗!

