【数据党】什么时候用盖亚的钥匙比较稳?——限定池中钻石投入与产出的关系分析(中)(4月15日更新)
精华修改于2020/05/144117 浏览攻略
#-- 最后更新于: 2020年4月15日 --#
(最新的更新请翻至文章末尾)
#-- 以下更新于: 2020年4月15日 --#
上一节主要列举了抽取次数与获得英雄个数之间的概率关系,这一节主要将尝试计算出一个简洁的综合概率。
本文主要介绍了:
① 一种使用动态规划算法的保底机制下概率计算方法;
② 不同抽取次数下,获得up英雄的数量及概率;
③ 指定概率下,至少获得一定数量的up英雄,需要的抽取次数;
④ 不同抽取次数下,触发保底的次数及概率;
⑤ 保底机制下抽卡的综合概率;
⑥ 在普通池与限定池抽SSR狗粮的综合概率;
⑦ 使用Python网络爬虫获取每周up英雄;
⑧ 一次抽卡实录。
文章篇幅较长,而且TapTap写太多了会溢出,所以本攻略将分为上(①②③)、中(④⑤⑥)、下(⑦⑧)三节,可按需阅读。(或者直接看每一部分的总结)
四、抽取次数与触发保底次数间的概率关系
这是第一部分中的数据结构与算法的一个拓展,计算了不同抽取次数下不同保底次数的概率。
只需将第一部分中的“抽中次数”调整为“保底次数”,将状态转移方程也做出对应调整即可。这里不再赘述。
结果如图:

#表5:100-1500抽保底次数及概率
注:
① 表中列标题为抽取的次数,行标题为保底次数。
② 预设抽取次数为0时,保底池中的次数也为0。
③ 表中“普通”、“限定”代表这是普通池(单发4.2%,80保底)的概率/限定池(单发1.4%,100保底)的概率。
④ 对于每一行,已将其中的最大值加粗,代表最有可能保底对应的次数。
⑤ 由于设置格式为显示一位小数,存在将0.01%显示为0.0%的可能。
从表中可以看出相比于普通池,限定池由于单次抽中概率更低,尽管保底次数要求(100)高于普通池,但获得保底的概率依然远高于普通池。例如同样抽1500发,限定池有很大可能出现6-7次保底;而普通池可能只有1-3次。
结论:普通池的非洲人成就远比限定池难完成,@菜菜 申请提高普通池非洲人奖励
(或者降低限定池非洲人奖励…)
(或者降低限定池非洲人奖励…)五、保底机制下综合概率的计算
前面几部分的数据都是程序暴力计算出来的,这一部分我们就从这些数据中反推出来限定池中up英雄的综合概率(指在没有保底机制的情况下,每一次抽取的概率)。
计算思路也很容易,对于不同的抽取次数n,计算抽到限定英雄数量的期望Em,再将两者相除即可得到综合概率p_syn(n)。即:

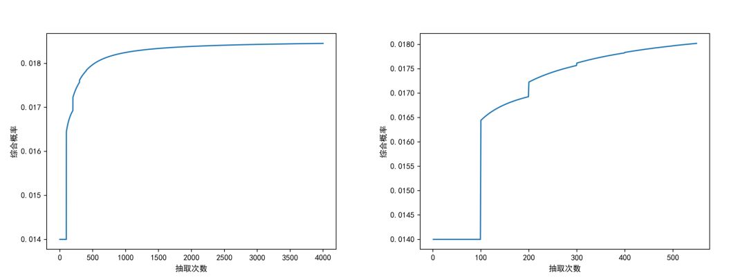
我使用这个公式计算出了n=1, …, 4000时的综合概率,绘制出下图:

#图1:1~4000抽之间综合概率的变化情况(左)与1~550抽之间综合概率的变化情况(右)
从右图中可以看出,在抽取次数较少的时候,每100抽之间综合概率会有一个突然提升,显然这是由保底机制导致的。而当抽取次数较多时,综合概率将趋于稳定。
这告诉我们,受限于保底机制,在条件允许的情况下,把保底池中攒的次数刚好用完相对更赚(废话)。
我们再来看具体数据,在n=4000时,限定池综合概率达到了1.845%,基本可以认为这个保底概率模型的综合期望在1.85%左右(还是那句话,我并不会用数学方法推导,欢迎大佬补充~)。差不多就是54发出一个,这和第三部分最后的数据基本一致。
类似地可以计算普通池(单次概率4.2%,保底池大小为80)中的综合概率约为4.34%左右。(这么看来这个池子保底有跟没有也差不多)
再类似地可以计算出普通池与限定池保底一次的综合概率,分别为0.144%与0.452%。也就是说平均每700发普通池会保底一次,每220发限定池会保底一次。
结论:
① 如果你在限定池平均每个限定英雄抽取次数小于54次,或者在普通池平均每个SSR英雄抽取次数小于23次的话,那么你可以说自己运气比较好了。
② 如果你在限定池平均小于220发就保底一次,或者在普通池平均小于700发就保底一次,在某种意义上(完成非洲人成就)你也可以说自己运气比较好了。
六、在普通池与限定池抽SSR狗粮的综合概率
之前的计算主要关注了限定池抽到概率up英雄的概率,在这一部分,将计算限定池中抽到其他英雄的概率。
使用模型:保底池次数达到99时,下一次有100%概率抽到限定英雄,0%概率抽到其他英雄;保底池次数未达到99时,下一次有1.4%概率抽到限定英雄,2.8%概率抽到其他英雄。
实现思路与方法:动态规划,具体略。
(图略)
结果:
在考虑保底机制的前提下,在限定池抽取非限定英雄的单次综合概率为2.787%。这比2.8%低了一丢丢,是当发生保底时必定不出非限定导致的。
在此处做个小结:
普通池抽到SSR的综合概率为4.34%;
限定池抽到限定SSR的综合概率为1.85%,抽到非限定SSR的综合概率为2.79%,抽到SSR的概率为4.64%(理论上每抽出1个SSR都将比普通池节约6.5%的钻石)。
所以在你只是需要狗粮升英雄的前提下,如果这周的限定英雄恰好是你用得上的狗粮,那么就抽她!如果不是,可以把钻石留到下个星期或者去抽普通池(捎带做普通池的非洲人成就)。
————————————分割线————————————
本攻略的第二部分到此就结束了,感谢你看到这里~
相关攻略:
PS:如果你对本攻略有任何疑问、意见或建议,欢迎在评论区告诉我~
PPS:码字不易,如果本篇攻略对你有帮助的话,留个赞呗!

