【干员测评】勇敢牛牛,不怕困难——帕拉斯测评
宝藏修改于2021/07/051.1 万浏览攻略
攻略做了有一些,但是测评贴还是第一次做。怎么说呢,因为第一波测评是最容易被打脸的,很多东西是需要通过实践和时间去验证的。就好像开服时候,方舟最弱六星必定是新出的六星。每个新出六星实装后像打天梯一样一路往上爬,最后风评才逐渐稳定。
做测评是真的累,需要计算和实验的东西太多了,以后还是不做了
。
。省流助手
中规中矩的六星,强度没高到基石,也没低到蓝调。没有改变游戏体系的实力,但能让博士在通关的时候多一条思路。能奶能拐能输出,但样样都不精通。纸面数据很强,但实际应用限制诸多。1技能配合盾后位可以客串小基石解手;2技能配合自身高攻速可以让特定敌人在25s内a不出来(石头人:你就报我身份证号得了);3技能非永续的散装煌,输出不错,增益不行。技能专精看个人需求,1技能全自动解手,应用范围广,专三提升大;2技能无限控制整活流,应用范围窄,专三提升大;3技能中回转打精英技能,专三提升小。
——————————————————————————————
帕拉斯

1.基础数据
1.1 面板数据分析


牛牛满配攻击力762,相较于同是援卫模板的下位5星姑妈与大小姐攻击高出了40-80点,攻击力比较符合六星面板。生命方面也拉开了明显差距,高出大约350点左右;不过防御方面三名干员相差不大。

和其他常用六星近卫干员相比,帕拉斯生命值明显偏低,攻击和防御算是中规中矩。但以上其他干员都有类似加防、自回血等其他技能配合,因此帕拉斯在前排站桩可能会相对弱势,不过这也算是符合她支援标签吧。
1.2特性天赋分析
特性:
可以攻击到较远敌人,攻击自身未阻挡的敌人时攻击力提升至120%。这条加攻特性是随着帕拉斯的实装一起更新的,这表明援卫模板的弱势是被yj看在眼里的,yj心里也清楚援卫模板属于屎里下毒了,希望通过这种方式加强这个冷板凳职业。值得一提的是,特性中这个1.2倍的加攻是最终乘算。
天赋:

身为援卫,天赋一基本都是团队buff技能,比如姑妈的【责骂】(在场时阻挡数大于等于3的友方近战单位攻速+8(+2),防御+14%(+2%)),或者大小姐的【近距离作战指导】(在场时周围8格内的近战友方单位攻击力+12%(+2%))。那么问题来了,这个天赋中的【米诺斯】是个什么意思?包含哪些干员啊在线等挺急的!
据我观察,这次更新前方舟中【好友】——【个人名片】的左下角还只有19个阵营,现在就有20个了。而多出来的这个阵营就是【米诺斯】。那么上面的那个问题的答案就呼之欲出了,【米诺斯】包含火神、断罪者、铸铁、帕拉斯共4名干员,实际上经过实验确实如此。由于另外3名干员平时基本难上场,绝大多数情况下,这个天赋的加攻仅针对帕拉斯自己,在阵营buff中,和枣子姐的【乌萨斯学生团】差不多。但由于有【深海猎人】这个前车之鉴,不排除未来yj还会出新的米诺斯六星干员的可能,只能说未来可期吧。



天赋二的攻击回血配合帕拉斯的高攻速在压力不大的情况下可以临时代替医疗,但在压力较大的情况下还是建议配合医疗干员使用,持续接敌的情况下对单回复hps43点,比医疗小车略高(小车hps39点)。
不过该天赋在面对持续低压敌人的图中可能会效果不错,在高台位不足的情况下配合煌等非自回血干员也是一种思路。满配棘刺天赋【故土潮声】自回血hps105,但需要2秒内未攻击,效果约为【女神的振奋】的2.4倍,但在这样的图就会很痛苦,因为持续的攻击无法触发天赋。值得指出的是,此天赋的回血机制为正常的医疗干员的【治疗】机制,不能治疗泥岩、赫拉格、M3等绝食干员,与调香师、杰哥、红蒂天赋的【恢复】机制是有区别的。
潜能方面除开常见的部署费用、部署时间这种添头潜能外,4潜时+25攻击,5潜时天赋二每次攻击多回5点血(40→45)。对于帕拉斯来说,目前来看其输出能力是要大于其增益能力的,且特性天赋的加攻都是乘算,25点攻击对于帕拉斯来说提升不小。回血天赋提升了帕拉斯12.5%的治疗量,对于3技能打三的情况来说还行,但总量太低,不做过多评论。由于帕拉斯的应用还没有稳定的看法,氪佬当然随意,平民博士建议new了就溜。
1.3攻击范围分析
援卫的攻击范围均为身前两格,帕拉斯也不例外,开启二技能后帕拉斯攻击范围向前延伸一格,与黄昏相同。这个攻击范围不长不短,比较适合放在盾后或者近卫干员身后输出。而且不管是天赋二的回血还是三技能的buff都要求身前一格为近战位并部署我方干员,表明yj对帕拉斯的定位就是盾后辅助兼一定输出的干员。
2.技能分析
技能一【胜利的连击】

这个技能乍一看就是个援卫版的强力击,但实际上是个很有意思的技能。如果我告诉你,这个技能是帕拉斯3个技能中dps最高、输出最平滑的技能,你会怎么看?(手动滑稽)
技能在7级时sp需求3,专三后为2,除此之外倍率从145增长到175,增加了30。银灰增加了65,42姐增加了70,煌增加了65,从数值上看这个技能相比于其他近卫的强力击技能专三提升倍率较小,但由于该技能为连续攻击两次,乘以2后60点就比较中规中矩了,差距不算很大。
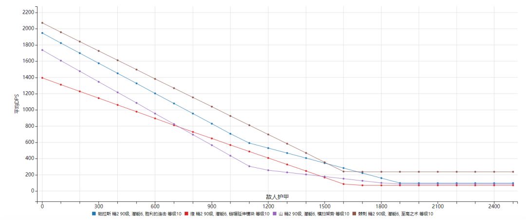
帕拉斯的这个技能有意思的地方在于,它的伤害计算公式虽有多个计算项却全是乘算。简单计算下满配帕拉斯的dph:762(基础攻击)*1.25(精力充沛)*1.2(援卫特性)*1.75(技能倍率)*2(伤害次数)=4001,平均dps为(762*1.25*1.2*2+4001)/(3*1.05)=1996。满配鸡翅至高之术暖机完后不考虑天赋毒伤平均dps为1946,满配煌链锯延伸模块暖机完后平均dps为1422,满配山横扫架势平均dps为1740.看到此处大家可能会觉得一个援卫的输出有这么高吗?这不是都快成基石了?事实真的如此吗?
仔细观察上方计算式中的系数就会发现,想要达成这个理论dps还挺难的。必须有友方干员帮忙阻挡,否则1.2倍特性无法触发;不太能抗伤害,满配情况下掉453生命就失去天赋加成1.25;攻击两次需要计算敌人防御两次,面对高防敌人伤害衰减严重。因此,如果想用帕拉斯1技能单防一路基本不现实,需要在前面放置重装等干员协同作战。以下分析协同作战(即保证帕拉斯天赋特性均成立)4名干员的输出曲线。


可以看到,在对单输出时帕拉斯输出弱于鸡翅,强于煌与山;但在对多输出时,帕拉斯的输出就沦为垫底了。而且山的自回血hps高达192,为帕拉斯4.3倍,鸡翅的自回血hps为105,为帕拉斯2.4倍,煌的对多输出能力一骑绝尘,因此1技能帕拉斯在输出生存方面还是明显低基石干员1-2个档次,而与重装干员绑定使用的高额费用也让其使用成本较高。
由于援卫特性和技能倍率都是最终乘算,2连击自不必说,因此帕拉斯的吃拐效果还挺可观的。放在满配红蒂的二技能中,帕拉斯的平均dps从1996增加到2605,技能dph提高了600+,而且红蒂的回血和加防对于维持帕拉斯的血线帮助也很大,两名干员可以搭配使用效果更佳。
总的来说,帕拉斯1技能是一个输出可观、但有诸多限制的技能。使用上需要与重装干员(或近卫干员)搭配使用,在box较浅的情况下可以一定程度上起到类似基石干员的效果。输出平滑,无需暖机,无技能真空期,抛光线也不低,适合盾后打年糕战术。但限制条件也多,实战中很难一直保持理论dps。如果box较为齐全,【胜利的连击】就需要竞争上岗了,可替代性极强,不过高练情况下专三放在友方干员身后解手当个不用暖机的小基石可能也是个用法。另外,技能触发时的二次攻击也会触发2次回血天赋,也就是说1技能帕拉斯对单回血hps为45*4/(1.05*3)=57。
此技能专三减1技力消耗,全自动使用方便,倍率提升中规中矩,专精优先度一般。但如果喜欢解手流打法,也可以尝试专三此技能。此技能只推荐7级和专三,专一专二没有意义。值得一提的是,这个技能专三需要用到6个司马电子单元,可能策划也觉得这个技能的含金量更高吧(懂不懂晶体电子单元的含金量啊)。
技能二 信念的长鞭

牛牛姐的这个技能个人认为是帕拉斯三个技能中最可能未来可期的技能吧。专三后高概率击晕敌人配合帕拉斯的较快攻速能够频繁打断敌人的普攻,25/25的技能回转保证了50%的技能覆盖率,也比较优秀,攻击距离也是3个技能中最远。不过既然该技能也加攻击力,先算算这个技能的输出提升吧。
满配帕拉斯理想情况下二技能dph为762*(1+0.25+0.8)*1.2=1875,二技能dps为1875/1.05=1786,持续25s内可以攻击24次(无其他攻速增益效果),技能总伤44988。比一技能要低,既然一技能的输出环境都乏善可陈了,那这个这个技能的输出应用就不过多赘述了,输出数据就放在这,有兴趣的博士可以自行摸索,接下来分析此技能的功能性。
此技能攻击有概率眩晕敌人0.2s,这个时间看起来极不起眼,2倍速下只有0.1s的眩晕肉眼几乎看不出来。但是,众所周知,眩晕是能打断并重置敌人普攻的。而方舟中高攻击敌人的攻速普遍较慢,如石头人,如大锤哥。同时大部分精英敌人和部分boss都是不存在眩晕抗性的,如下表所示,刚过去的光谱行动2大boss和泥岩、马上要复刻的ss密林悍将中的丑东西、主线的爱国者都是可以被眩晕的。

那么就存在这样一种可能:敌人的攻击前摇≥帕拉斯的攻击间隔时1.05s(假设每次攻击必定眩晕),敌人会在帕拉斯的高频晕眩下a不出来。实际上帕拉斯每次攻击85%眩晕,连续两次不触发眩晕的概率为2.25%,如果你碰到了这种情况,那么建议赶紧抽卡,毕竟六星出率也是2%。也就是说敌人攻击前摇≥2倍帕拉斯攻击间隔3.1s时,基本能保证25s技能持续时间内永远无法a出来。而高攻敌人攻击间隔普遍在4s以上,其攻击前摇也基本在2.5s以上,所以要达成这个条件相对而言还算简单。但这个效果平时基本用不上,而且只能晕单个敌人和25s限制时间也很要命,只能说可能在危机合约中高光吧,未来可期。(打断卡其脱离太是真的好用)
此技能专精增加攻击倍率和眩晕概率,加快技能回转。个人暂时对其定位为功能性技能,那么要么不专,要么专三。更高的技能覆盖率和眩晕概率才是技能功能性的有力保证。但日常使用较少,属于未来可期的技能,专精优先度较低。
三技能 英勇的祝福

这个技能算是帕拉斯三个技能中唯一一个干本职工作的技能。你一个援卫,不好好加buff,整天搞些虚头巴脑的业余输出是闹哪样(滑稽)?由于此技能可以拐队友和拐自己,以下分为两种情况讨论。
仅拐自己
满配帕拉斯开启三技能后理想情况dph为762*(1+1+0.5)*1.2=2286,dps为2286/1.05=2177,防御为614,挡三打三。这数据,你说不是照着煌设计的我都不信。


可以看到,在技能持续时间内,帕拉斯所有天赋特性全触发的时候不管是打单还是打多输出都是优于煌的,甚至优于对单的真银斩。但是,想要在身前无阻挡的情况下能维持特性天赋全触发几乎不可能,首先接敌1.2倍的特性就没了,然后被砍两刀【精力充沛】效果也没了,因此一般只在高练虐菜图才行。不过即使失去了这两个特性,其技能内的dps和抛光线依旧高于煌。算上技能周期内的平均dps就算加上所有特性也就和煌差不多了,算是一个间歇性的散装煌吧。
在其身前放置M3或者在盾侧放置帕拉斯,可以达到加持自身的效果。因为M3不是干员,所以帕拉斯依旧buff自己,不过这样的话35%防御力加成和+1阻挡就有点浪费了。值得指出的是,buff自己是将原本天赋【精力充沛】的25%加成增加到50%,增大了25%,而buff友方干员是从0增大到50%,因此仅buff自己从理论上讲是很浪费的。
技能50s的回转说长不长,说短不短,和动辄70s 80s的决战技肯定是比不了,但是50s的cd也着实不短。技能结束后,没有特性加成的帕拉斯的输出就直线下降,从此进入恶性循环。不过15s初动勉强可以插拔空降,具体效果如何还需要实战中检验。因此,不太建议帕拉斯单防一路。
拐身前队友
三技能可以为也友方干员施加增益效果,有几点细节:
1.友方必须为正前方一格,只有这一个位置享受加成;
2.仅干员享受加成,召唤物不享受,比如M3;
3.如果是CE-5 H7-1这样的地图,远程干员也能享受帕拉斯3技能加成;
4.如果帕拉斯撤离,那么还在持续时间内的buff也会消失,这点与华法琳阿的buff不一样。
从效果上看,可以初步判断适合帕拉斯3技能buff的干员有如下几类:
1.首先肯定是群卫。增加攻防和阻挡数对于群卫来说都是极大提升,比如挡4打4的煌与鲨鲨;
2.其次是开技能增加阻挡数和输出的假·群卫干员,比如星极。
3.有一定输出能力的重装,比如星熊、泥岩。
4.有一定输出的能吃拐的干员,比如风笛、陈。
5.利用阻挡+1的特性在特殊关卡搭配使用,比如配合年创造出挡6的龟龟。
6.还没想好。
初步计算配合煌的情况:暖机后的煌防御加上buff后未706点,dph为2133点,此时帕拉斯dph为762*(1+1+0.25)*1.2=2057点。一般开启技能时为高压波次,默认阻挡数满。煌的dps为2133*4/1.2=7110,帕拉斯的dps为2057*3/1.05=5877。由于帕拉斯每次能攻击3名敌人,所以每次回复45*3=135点生命,对单hps为135/1.05=129点。煌的自身dps(不考虑帕拉斯加成)为853*2*3/1.2=4265,帕拉斯的加成算是在高压情况下提高了煌的对群输出66.7%。50s的回转作为一个中回转的对精英敌人技能勉强算是合格的,配合医疗干员保证帕拉斯的满输出应该是很容易的,煌的血线能不能保持在80%以上得具体问题具体分析了。
3.干员总体分析
3.1优势
1.能力比较综合,拥有不错的输出能力、比较平庸的增益能力和医疗能力;
2.一技能能够解手且能保证输出;
3.二技能对特定敌人有较强的对策性,可能合约高光;
4、三技能在拐的同时能够增强自身输出,可以和许多干员搭配多一些过图思路。
5、天赋特性均为乘算,且攻速较快,吃拐率高。
3.2劣势
1.作为援卫,但增益效果极其有限。天赋基本仅对自己生效;三技能增益效果仅限近战位,50%的加攻buff倍率也太低,且容易被其他干员自身技能稀释,增加的防御也不太行。
2.攻击范围太小。天赋和技能机制决定了其基本只能用在盾后输出,仅有一格的输出范围着实不够看。
3.天赋二和三技能对部署位限制很大,仅限身前一格。在很多地图中部署位受限的情况下很难得到应用,尤其是合约。
4.特性的生效条件太过苛刻。80%血线的要求实战中很难满足,放宽至50%可能会好很多,yj还是太保守。
5.三技能回转太长。作为一个六星援卫的唯一本职技能回转居然要50s,说实话我感觉改成暖机永续也不会太过离谱,毕竟那么多限制用的也很难受。退一万步说就算设计离谱不是还有42姐在那顶着吗。
3.3总体评价
总体来说牛子姐强度算是中等六星水平,没有太过拉胯,但也不够出众。比她能输出的没她能拐,比她能拐的没她能奶,比她能奶的没她能输出。换句话说她能做的总有不同的干员做的比她更好。抽取建议是,可以抽,不强求。顺便提一嘴,牛子姐的基建技能还是挺香的,算是个制造站幻神,红稀刻+泡火帕或者红稀帕+泡火刻是狗粮制造顶配。



