填字母补全圣诞树,赢双重礼物~
修改于2021/12/25553 浏览创作星球
最近喵扎特在朋友圈看见了很多绘制圣诞树的动态,让我也想给各位冒险者画一份“礼物”圣诞树。但在那之前,按照惯例还需要各位聪明的冒险者们回答出我的问题才能获得喵扎特为大家准备的礼物哦~
首先是第一个简单的小问题,统计下图中“meozart”这七个字母的出现次数,然后按照“由多至少”的顺序重新对这七个字母排序就是第一问的答案了。

既然本次活动主题是“圣诞树”,那第二个问题自然与“树”有很大的关联。
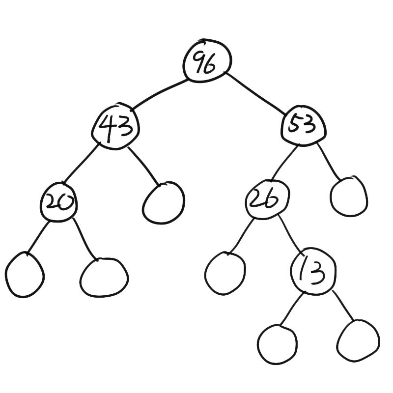
由上一问可知,每个字母都有它特定的出现频率,我们根据这个频率可以绘制一颗“树”。当然喵扎特不会难为大家的,我已经提前为大家画好了树的主体部分,只要你按照我所给的规则把每个字母填入正确的叶子节点上就可以进行下一步骤了。
规则一、每个节点右圈圈里的数大于或等于左圈圈的数。
规则二、左右圈圈里的数加起来等于与它们连接的节点圈圈里的数。

填写完毕后,你就得到了一颗“圣诞树”了,呃,虽然看起来不是很像…不过想要获得最终的圣诞礼物你还需要按以下规则对每个字母编码。
规则三、假设每个左分支代表“0”,右分支代表“1”,我们可以对七个字母进行编码,比如从根节点出发,向右,向左,向右,向左,到达“e”,那么“e”的编码就为“1010”
规则四、将按照规则编好的码以“meozart”这七个字母的顺序进行排序,最后你应该得到一串仅由“1”和“0”构成的一串数字,因为它实在太长,请你将其转为十进制的数字。
这个十进制的数字就是最后的礼物了!
兑换截止日期:2021.12.30 23:00
兑换方式:游戏设置-礼包兑换功能进行兑换~


