避难所房间的详细数据
修改于2023/05/302.8 万浏览攻略
因为这个游戏并没有公开详细的数据库,大部分数据都需要玩家去测试分析,所以可能有些数据会有出入。
以下,来自辐射Wiki搬运以及少部分的本人测试(辐射在Wiki中文版里并没有任何与“辐射:避难所”有关的数据,只有在原版Wiki中才能找到,但原版Wiki的翻译一言难尽,所以没办法准确的分析出所有数据)
避难所SPECIAL详细数据:
https://www.taptap.com/topic/20247543
因为这个游戏并没有公开详细的数据库,大部分数据都需要玩家去测试分析,所以可能有些数据会有出入。以下,...

https://www.taptap.cn/topic/20247543

避难所布局攻略:
https://www.taptap.com/topic/20251826

https://www.taptap.cn/topic/20251826

——————————————————————————
●总体概述
《辐射:避难所》中,共有 23 种不同房间,在建造时从 1 级开始,可以通过上限升级到最高 3 级。
大多数房间也可以通过在旁边放置相同级别的相同房间来合并,最多合并3次。一般来说,每个房间可以分配两个居民。合并的房间最多可容纳 6 名居民。
生产室需要特定的 SPECIAL 特征才能运行,而培训室则增加所选居民的特定特质。
避难所上下共有25层;所有楼层都可以容纳八个房间加两部电梯。避难所最多可容纳 200 名居民。
●房间概览
房间通常分为两类:生产和训练。
唯一的例外是监督者办公室,它给居民派发任务;
避难所大门,作为入侵的第一道防线;
电梯,允许居民在楼层之间移动。
以下为所有房间的基本属性:

每个房间建造所需的成本取决于避难所中已有该类型房间的数量。
例如,建造第一个医务室需要花费 400 瓶盖,而当以有一个医务室,建造第二个时,需要花费 500瓶盖(具体需要增加的瓶盖数详见上图中的“增量成本”)
空房间很容易受到灾害的影响;如果不能将居民转移到空房间来根除问题,虫害和火灾就会蔓延到相邻的房间。(关于灾难,以后会单独讲解)
以下为所有房间的概述:

●房间细览
①生产类房间
生产类房间会定期产出一种资源(除了核子可乐装瓶机,它同时生产食物和水)
生产时间取决于房间所需特征(SPECIAL)的分配居民的总特征水平。
例如,在一个二联(二联指两个连接合并的房间)发电站房间中,四个力量(S)为 5 的居民与在同一个房间中的两个S为 10 的居民效率相同。
生产时间也会受到房间大小、升级级别和工作居民的幸福感的影响。
如果服装装备将居民的特征属性提升到 10 以上,使属性溢出,溢出的属性同样会生效。
一旦房间生产了一批资源,它就不会再生产,直到你收集了资源。
根据在该房间内居民的运气(L),收集资源时也可能产生一定数量的瓶盖。
○游戏的资源算法
生产资源的房间有一个特殊的“资源池”(以下简称`池`)(这个所谓的“资源池”可以看做是生产资源的容量)。
每一秒,房间里所有工作的居民都会将他们的相关 SPECIAL 统计数据添加到该池中(同时会增加居民的幸福度)
当池满时,房间会让玩家收获其资源,之后池被清空,居民需要再次填满(苦逼打工人)。
合并房间时,池的大小会增加以匹配新房间大小。所以二联房的池是单房的两倍,三联房是单房的三倍。
升级房间似乎对房间的池大小没有明显影响。如果居民被移出房间(可能是为了处理事件),那么他们积累的资源将保留在房间的池中。
因此,例如在单间发电站中,拥有 5 点S的居民每秒将向池中增加 5 点,增加到 5.5 点,(同时避难所的幸福度将获得 10% 的提升)。
发电站的池大小约为 1320,也就是说如果只有一个居民工作,那么将在 4 分钟内填满该房间的池。
如果要合并房间并且仍只有一个居民,则房间的总池大小将加倍至 2640,单独一个居民需要 8 分钟才能填满池。
大多数房间的池是固定的,以下为所有房间的池的大小以及基准时间。

*(基准时间只是用来确定池容量大小的基础,池的大小是通过基准时间推到出来的,只看池大小就行,不用在意基准时间)
○效率
明白了游戏的基础资源的算法,就可以根据这层底层逻辑去增加生产效率。
这是官方给的资源计算公式

资源×1000/(时间×SPECIAL)
为什么是这么个公式呢?因为如果居民提高SPECIAL,那么资源也会按比例增加。而用资源乘以用1000 ,是因为基础的资源数值非常小。
了解了公式,那么就可以算出各个生产房间的数据。

*图中“数量”是单独的一个特殊的只有,指的是房间生产完成后退出游戏后恢复的数量。不关心效率,但经常上线游戏收菜的玩家可以注意一下这项数据。
*将居民带离房间后重新返回房间不会重启计时器,它会从停止的地方继续。
上表数据适用于初始一级的单间房。将数量和效率与以下数字相乘就可以获得其他配置的数值:

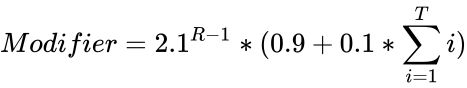
如果不想如此繁琐的计算其他配置的数值,那也可以运用这个公式去直接计算:

*R 是合并在一起的房间数量,T 是房间的等级
在1.6版本更新后,官方将发电站和核电站的满级三联数据进行了改动:
三级的三联发电站的效率为20.75 ,数量为66,时间为1小时3分钟。
三级的三联核电站的效率为22.49,数量为85,时间为1小时13分钟。
(总的来说避难所这款游戏的资源算法更加简练,没有更多花里胡哨的东西)
○极速模式
生产资源的房间可以开启“极速模式”。
进入极速模式后,该房间会在极短的时间内将池注满,即完成一次生产。
一次失败的极速模式会导致该房间发生不可避免的灾难事件;这可能是火灾或蟑螂/鼹鼠的侵扰。
每进入一次极速模式,无论成功与否,都会增加下一次极速模式的失败机会。房间的失败率会随着时间慢慢衰减,但不会减至最初的失败几率。
极速模式失败的总几率受该房间内居民L和居民的对应该房间的SPECIAL的属性影响。
一次成功的加速,一个房间的所有居民在接下来的三十秒内陆续总共获得10点幸福度。一次失败的加急尝试会使房间内居民的幸福感降低 10 点。
只有在冲刺后的整个 30 秒内都待在房间里的工人才能获得全额幸福感加成或降低。
所以,极速模式失败后,如果不想让某个居民的幸福感降低,立即把他转移到其他房间即可。
如果在灾难结束前将居民转移到受灾难的房间,该居民幸福感仍会降低
怀孕的角色会在极速模式失败后逃离房间,并且无助于解决问题。
通过高L和SPECIL的特殊统计数据,可以将 加速失败的几率限制在 50% 以下。此时,失败的几率会在 50% 和 40% 之间交替变化。
但如果你脸很黑,那么交替似乎最高可以达到 86% 和 74%。
②训练类房间
训练房可以为驻扎在其中的居民增加特定的某项SPECIAL。训练是提高你的居民在避难所和废土中的效率的重要机制。
○训练时间
与资源房类似,居民的每个SPECIAL都有一个“池”。当这个池填满时,玩家可以升级对应的SPECIAL。训练时间取决于池有多大以及居民填满水池的速度。

训练时,居民每秒会在池中增加 1 。避难所的幸福加成、房间中的居民数量以及房间的升级等级都会将其放大。
每个级别的SPECIAL池的大小

*其中SP是居民的SPECIAL(1~9)
每秒点数

*其中 D 是在房间里训练的居民数量 (1 ~ 6)
T 是训练房间的等级 (1 ~ 3)
H 是避难所的幸福感加成 (0.01~0.1)
由于避难所幸福感的最低加成是 1.01,居民的训练总是会比列出的基本时间稍快一点。
比方说,有一次训练需要大约 3 天 10 小时。但是,居民每秒可以将他们的产出提高到 1.331,这可以减少多达 25% 的训练所需时间(以 4/3 倍速度训练将基础时间减少到 3/4)并将总训练时间减少到2天12小时52分36秒。
○合并房间
最多可以将三个相同类型的房间合并为一个更大的房间。将相同类型的房间放置在现有的单独房间旁边,房间会自动合并。
如果放置在更高级别的房间旁边,新房间将在升级到现有房间的级别后立即合并。
两个房间的所有有益效果都会在合并时累积:双人训练室最多可训练四名居民,三人训练室最多可训练六名居民。
与相同数量的未合并房间相比,合并房间更具有优势。
升级合并房间的成本低于相同数量未合并房间的累积升级成本,因此在升级之前考虑将房间合并为三倍。
此外,合并的房间更有生产力和效率:资源房将更快地产生资源,训练房可以容纳更多的居民,从而减少了培训时间。
然而,合并的房间也有缺点:房间越大,占用的越少,摆脱蟑螂或火灾等事件的难度/时间就越长,从而更快地消耗居民的健康。
房间等级也会影响难度;等级越高,事件发生的时间越长。在尝试在只有一个居民的高等级三联房中开启极速模式之前,请记住这一点。
如果您的居民训练有素且装备齐全,那么一个满员的三联房间对入侵者来说可能是致命的。确保一楼有至少一个三联的满员房间,训练有素的居民,不,你的战士将会抵御大部分入侵者。
○神秘的陌生人

*上图中右数第二个穿着高领风衣戴着高帽的便是神秘的陌生人,他将会是你前期的大财主。
神秘的陌生人将会随机随时在某个房间里出现一小段时间,他的出现将会伴随声音提示,这个提示音会根据他与您的视线的距离而变大或变小,或者在静音时会发出双倍的嗡嗡声。
点击陌生人,他便会消失,同时您将获得随机数量的瓶盖,从几十到略低于 5,000 不等。陌生人可以出现在任何房间,包括空房间、电梯和避难所入口,但在灾难和突袭期间不会出现,如果在金库中发生灾难或突袭则会消失。
如果你没有及时点击陌生人,在静音时会播放另一个声音或一个单一的嗡嗡声,他会消失而不给你任何瓶盖。
虽然神秘人的奖励在游戏后期变得越来越不重要,但它们在游戏开始时非常有价值,可以极大地加快一个初出茅庐的避难所的建立,尤其是在房间比较少,居民比较少的时候,更容易找到陌生人。
随着避难所的扩大,快速搜索变得越来越困难,也越来越难以及时找到神秘陌生人。
但是,通过缩小到最远级别并在设置中禁用高清缩小,他变得更容易被发现。
某些宠物可以大大增加陌生人出现的频率,甚至能让他每隔几分钟就会出现一次。
L也影响神秘人出现的频率,不过这种影响微乎其微。
这篇文章漏掉了巧手这个存在,官方的数据里没有任何文章提到巧手,Wiki里也只仅有一张巧手的图片,需要大量测试才能得出数据,以后有时间再测试吧



