10000法强以后元素/暗影/幻影射线的基础伤害计算公式(上下限)
修改于2022/05/142000 浏览数据评测
本帖是和小c今天咸鱼了一起得出的,属于联合投稿
法强对基础伤害的加成进行了分段处理,10000法强左右就换了公式
下限的计算公式:
(-0.405*法强^2+25820*法强)/1300-90524
上限的计算公式:
(-0.3891*法强^2+25689*法强)/1300-88752
浮动部分的计算公式:5×(法强+125)/26-5
图像(下限)(元素射线):


与现有数据的偏差在100以内
图像(上限)(元素射线):


一点题外话:
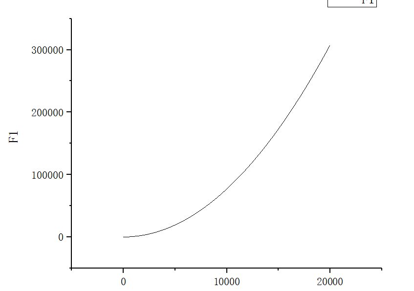
法强的加成砍的还挺厉害,这是按原本的公式绘的图(元素射线的下限基础伤害)
竖轴为基础伤害,横轴为法强
可以观察到,20000法强时的基础伤害已经接近30w
可按现在的公式,只有18多万
法强越高,亏得越多


