【安全公告】《使命召唤手游》6月9日安全处罚公告
亲爱的战士:
我是瘦普,最新外挂处罚公告来了。
《使命召唤手游》运营团队始终致力于打造绿色健康、公平竞技的游戏环境,给战士们带来更好的游戏体验。通过游戏中7*24小时全天实时守护,对于安装或使用外挂、第三方非法插件或应用、非官方安装包、双开软件或虚拟机、模拟器或外设过检测及修改网络配置等所谓防封过检测破坏游戏平衡的行为,经腾讯游戏安全中心核实后,将给予严厉封号处罚。
运营团队对外挂采取“零容忍”态度,只要发现作弊一定严惩,并且不接受任何渠道的解封申请(包括心悦会员等)。对违规战士除了封号处罚外,还会定期公示部分典型账号,同时游戏官方运营团队也会持续优化游戏举报系统及反馈系统,欢迎战士们通过游戏内外各反馈渠道积极举报、投诉。绿色游戏环境,需要与战士共同守护,请各位战士享受游戏乐趣同时恪守规则。
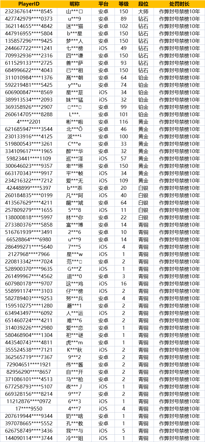
近期部分处罚名单

外挂举报途径
1、游戏对局结算页按照如下步骤,点击举报按钮完成举报。


2、个人信息-历史战绩面板中查看对局详情后,点击举报按钮完成举报。


3、除了上述游戏内的举报方式以外,战士们可通过使命召唤手游公众号,点击有求必应→打击外挂,按照填写要求完成举报。
常见问题解答
问:我在游戏内举报了作弊的玩家,我可以通过什么渠道来了解举报结果?
答:在成功举报后,可以通过查看游戏内举报处罚反馈邮件、腾讯游戏安全中心微信公众号获取举报结果。
问:我把账号借给朋友了,他用了外挂导致封号了,但是不是我违规,可以把我的账号解封吗?
答:不能,处罚是针对游戏账号,而非对人。特别是该账号的用挂行为已经对当局其他战士造成了不好的游戏体验,所以无法对该账号进行解封。切勿共享账号,避免不必要的损失,一同监督好友们的游戏行为。
问:我在账号里面充值了好几万,也就试了一下外挂,可以帮我把账号解封吗?
答:不能,任何作弊行为都将受到处罚,这与充值与否,多少无关,请谅解。
问:针对游戏内队友挂机、送人头等消极游戏,我能做些什么?
答:可以通过游戏内对局中或对局结算页举报入口进行消极游戏的举报,安全中心会针对被举报账号数据进行分析,一经查证会评估消极行为恶劣程度给予被举报者扣除信誉分、限制对战模式等类型处罚,同时会给举报者发送举报处罚反馈邮件。
问:我为什么被限制排位对战模式,加入安全观察期隔离观察?
答:游戏通过腾讯游戏安全团队提供的安全大数据和人工智能技术,将自动识别出游戏环境异常且被多名战士举报的账号,以减少影响对局公平性,并将其纳入安全观察期重点观察,请遵守游戏规则,共同维护公平游戏环境。

