[忍3“专业”测评]概率の误解——编程模拟10亿次金钥匙武器抽奖!史上最全解答~ (☆_☆)
精华修改于2020/09/221.2 万浏览玩家攻略
[2020.7.23 第1版]
在下Haechi,请多指教。
欢迎来到新的一期爆肝帖!这次,我将分析忍3黄金武器宝箱的期望爆率,用大量的模拟与计算来解决各位忍忍的疑惑。与上一期相同,为了避免大家不想看理论部分苦苦寻找课代表,我会将纯文字精简版放到#40楼。对啦,不想一直翻过本帖的人可以选择右侧的快速通道🔜 [^_^]
其实我知道,黄金宝箱是一个老生常谈的问题啊,在论坛的各个角落都有大佬分析。不过据我所知,这些内容并未完全整合在一起,而且过于碎片化、专一化,没有系统的分析各种热点问题~目前最有权威的大概是这个帖子:猫老师的灵魂提问!
但是本帖子会进一步挖掘这个话题~
😂经常吐槽黄金宝箱的忍忍们,敲黑板啦!duang duang duuaaanng——
So!本文会涵盖哪些内容呢?比如说……比如说,
>>> 抽10亿次?是不是标题党啊?你有那么多?狗老板想用金钥匙淹死你?233
>>> 保底机制对于SSR抽取帮助到底有多大?平均下来多少把🔑可以获得SSR呢?
>>> 为什么我会一直在50次以后抽到SSR,但是在此之前抽到较少?
>>> R头像获得难度?咸鱼头像获得难度?非酋头像获得难度?
>>> 为什么我会连续抽到10个、20个、甚至30个R武器?概率有多高(di)?
>>> 忍界武器抽奖最非的忍忍到底有多非?理论上最非的情况是什么样子的?
>>> 玄学对于抽中SSR有任何帮助吗?(肉串、雷切、笛子警告~)
>>> 喵喵喵?(翻译:我想不出来啦,欢迎在评论区补充~)
-=免责DISCLAIMER声明=-
“实际情况可能不是这样的~”
本文测试结果均为纯数学模型,如果游戏内有其他算法影响导致结果不准确,那我就没有办法啦!为了方便模拟,选择相信游戏中的公布概率!下面将重新声明所有规则,以便大家指正。
1. 当SSR概率提升机制未触发时,R概率78%,SR概率20%,SSR概率2%。初始未抽中SSR次数为0。
2. 如果连续50次没获得SSR,则每次未抽中SSR后下一次获得SSR的概率提升5%,直至达到100%时必定获得SSR。 第50次抽奖不是SSR时概率是2%,第51次才是7%~
3. 一旦获得一把SSR,SSR概率将恢复到2%,重新从0开始计算未抽中SSR次数。
4. [⚠注意:这一点为我的猜测,不代表官方,但是应该是较公平的算法]SSR概率提升时,会将不抽中SSR的概率(1-SSR概率%)以10 : 39分配。例如,当60次未抽中SSR之后,SSR概率52%,SR概率约9.8%,R概率约38.2%。
5. 连续抽中10次R会获得[R头像],连续抽中2个R尚方宝剑会获得[咸鱼头像],连续60次未抽中SSR武器会获得[非酋头像]。
6. 所有武器不论品质获得概率一律平等,不考虑武器星级的影响,只考虑武器种类。
7. 不存在所谓的“仓检”“大数据概率操控”“玄学”等特殊技术手段影响结果,认同“肝不变命,氪不改非”等说法。
🔑🔑🔑🔑🔑🔑🔑🔑🔑🔑
I/ 抽10亿次,是不是标题党啊?你有那么多?狗老板想用金钥匙淹死你?233
没有问题,因为这使用程序模拟的啊!本人简单应用了一下Python,算法不一定是最好的,可能会出不少错误,请大家指正~我很菜qwq,只用了一些入门级的东西。整个程序编写时由于不了解情况,前前后后调试了几天,没有系统学习过概率论的我也思考和推算了挺长时间。完整程序如下,附加了一些额外功能,后面会提到哦~

再给一个能准确计算多种情况下抽中SSR的概率和期望的源代码:

至于为什么要这么大的样本容量,其实抽100万次就可以用来调试,抽1亿次就有较为稳定的参考价值了。不过为了更精确的数值,我还是扩大了10倍,好好利用一下资源、提升一下规格、更有说服力……(省略1000字🐶)
现在直接给出1,000,000,000次武器抽奖的结果,运行时间约1小时。对,真的很久,很暴力。


啊哈!29 767 355把SSR也太豪华了8!
(小声说一句:我本来打算抽10的10次方次的,但是考虑到需要连夜挂机12小时左右,还是舍去了hhhh)
🔑🔑🔑🔑🔑🔑🔑🔑🔑🔑
II/ 保底机制对于SSR抽取帮助到底有多大?平均下来多少把🔑可以获得SSR呢?
可以看出,1 000 000 000次抽取中,SSR的比例占到了2.976%!没有一定了解的忍忍们估计会想不到,相比一年前没有保底的时候,概率竟然高了将近50%。可以看出之前SSR是多么难抽,改了之后是良心不少(☆_☆)之前还会出现几百把金钥匙砸进去还不出货的情况,据说忍界纪录高达140把……

将2.97%取倒数,便可以得到期望E,即平均下来需要多少金钥匙才能抽到SSR:E=1/P ≈ 33.6 (把)
就是说,平均抽约33.6把就可以获得SSR啦!(改前正好是50)emmmm 绝世非酋当我没说ʕ •ᴥ•ʔ
也可以得出,一把SSR的价值为:4300.8勾玉
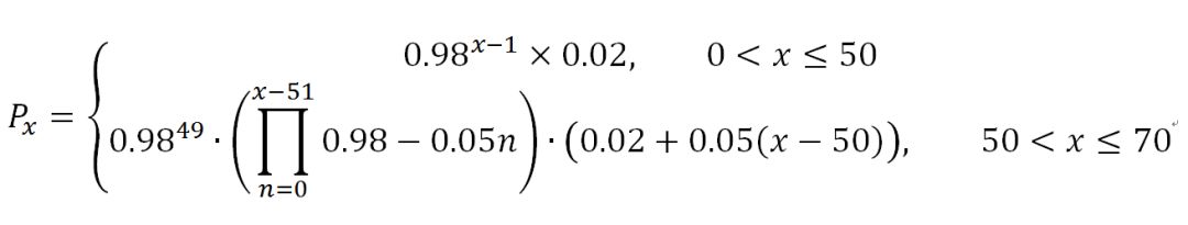
附上准确的概率P以及期望E:
第x次抽到SSR的概率:

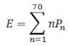
总SSR期望:

结果:(P精确到小数点后10位)

可以看出,10亿次模拟的结果已经相当接近了。下次如果有人问你SSR期望,直接把这个图发过去!应该是忍界最准确了吧~
🔑🔑🔑🔑🔑🔑🔑🔑🔑🔑
不过,有些小伙伴就要问了,我为啥经常在50把以后抽到SSR啊,难不成33.6是假的?所以……
(下面的内容会有一点点难)
III/ 为什么我会一直在50次以后抽到SSR,但是在此之前抽到较少?
到这里,就涉及到我的程序的额外功能了,其中一个就是统计抽多少次才出SSR。具体结果如下:

先不要着急点开去看,这些数据经过分析,可以画成分布图像。(使用软件:Excel、画图😂)

(注1:无保底的曲线在70之后会继续,未画出请脑补qwq)
(注2:无保底抽取的SSR数量本身比保底就要少,如果按比例换算无保底的曲线在50发前会与保底重合)
(注3:图中的频数总和保底为29 767 355,无保底为20 000 000)
横向观察得出,保底机制与无保底机制在50发前均为递减的指数函数,1发入魂的情况最多,50发的情况最少。到了50发之后,保底机制发挥了显著作用,频数迅速上升,在53发左右达到顶峰,然后坠崖式下降,在62发被无保底超越。因此,忍忍们会在51~58发之间遇到较多的SSR!
为了进一步体现这一点,我还将1~50发的平均频数与51~58发的平均频数算出,为378 590和1 224 597,可以说是天壤之别。下一次在50发之后抽到SSR也不要大惊小怪,正常现象。在59次之后基本上情况就很少了。
纵向对比得出,在62发之前,保底比无保底普遍要高,也可以直观看出保底机制对于SSR概率的提高。注意无保底在70之后还有图像[注1],整个函数是收敛的。如果积分两个函数,两个结果中保底仍要大于无保底,得出保底综合概率大的结论。面积=抽到次数=概率大小=出货率!
还有一点必须要声明。大部分正常人对于耗费较多的抽奖更在意,因为这种情况本身会带来本能的负反馈,况且抽的时间比一发入魂等早出货的情况更长,给人留下的印象更深,时间久了就会产生“总是在50抽以后”的反射。其他因素包含社会舆论、谣言夸大、意识形态等等,都会影响判断。所以理性分析十分重要!
🔑🔑🔑🔑🔑🔑🔑🔑🔑🔑
IV/ R头像获得难度?咸鱼头像获得难度?非酋头像获得难度?
直接告诉你们:答案为——不难、难、难得离谱[doge]

先说明一下各个头像的获取条件,见下图

下面是概率,只有非酋头像是非常准确的……
1)咸鱼|目前一共有15个R武器,获得概率为(R武器概率/R武器总数)^ 2=(78%/X)^ 2 ❌
其实这是不对的!R武器的概率不是单纯的78%,因为还有保底机制的干扰。SSR多出来的1%也不是凭空出现的,根据规则4,剩下的概率按照10:39分配,实际上R武器的概率≈77.2%(影响不大,但是严谨优先hhh)
正确的是:P(咸鱼)=(77.22%/15)^ 2 ≈ 0.265%,期望约765把。😱
目前我不确定R武器的分布是否是每种武器均相同,也有可能是按照属性抽取的。[待确认]
告诉你们一个小知识:咸鱼(R尚方宝剑)的属性是水系哦~

2)R|每10次抽奖,P(R)^10 ≈ 7.42%,即有7.42%的概率出头像。期望是135次……😂
这个结果是我模拟出来的,因为保底机制会带来大量的计算不便(在50次未抽到时会有改变),就取了一个估值。P(R)不按照78%算,具体怎么弄我也没进一步思考,毕竟R头像太容易获得了,不值得qwq
3)非酋|这个就比较难算了,动动脑筋可以得出 P=0.98^50*0.93*0.88*0.83*…*0.48 ≈ 0.008 90,但是前提是,你必须要事先抽到一个SSR才能开始计算!!!非常重要!!!否则50次后的概率衰减就不会这样进行,会被完全打乱。因此获得非酋头像概率应该这样表述:每抽到一个SSR(约2.976%),约0.89%的情况是如此。也就是说,平均下来大约3 773.6把金钥匙才能获得非酋头像,哈哈。(真正的欧皇啊……)
粗略一算,非酋头像价值约483 000勾玉……所以非酋头像为什么不升级一下?⬇️

其实非酋是这个样子的:第60把正好出个萧。囧rz 不过在这里我先预言一下,萧有了咒印应该不会那么弱!
🔑🔑🔑🔑🔑🔑🔑🔑🔑🔑
V/ 为什么我会连续抽到10个、20个、甚至30个R武器?概率有多高(di)?
刚才提到了R头像,那你是否为着20抽、20R烦恼?你是否因为维护后的金钥匙每次都给你一个价值连城的R而怒捶桌子?没错,你的烦恼,很有道理……
下面涉及到程序的另一个额外功能,连续R武器统计。考虑到程序运行速度,只从连续10个R开始算,结果如下。
直到抽出非R武器才会停止累加,这表明如果连续11次R,只会算作一次,但是如果用“只要10次抽获得10个R就可以算入“的条件,其实会算作两次。如果以后者的条件计算,一个n连R武器(n ≥ 10)会被算作(n-1)个10连R武器。非酋头像同理。

一些关键的概率:(注意前提条件,抽到非R才能开启下一次累计,结束并计入连续序列,跟上面不一样)
1. 连续10个及以上个R武器[R头像]|每抽到一个SR或SSR(约22.78%),约7.42%的情况是如此;
2. 连续15个及以上个R武器[=( ]|每抽到一个SR或SSR(约22.78%),约2.03%的情况是如此;
3. 连续20个及以上个R武器[-_-#]|每抽到一个SR或SSR(约22.78%),约0.54%的情况是如此;
4. 连续30个及以上个R武器[ヽ(`Д´)ノ ]|每抽到一个SR或SSR(约22.78%),约0.036%的情况是如此;
……
哦对了,这10亿次抽奖中,竟然断档式地出现了一次连续61个R的情况!!!超出出了非酋头像标准2倍还不说,加上一次SR都没抽到,这种情形,比隼白这种百年一遇的天才出现的概率还要少!😂
所以……
5. 连续61个及以上个R武器[(╯°□°)╯︵ ┻━┻]|每抽到一个SR或SSR(约22.78%),有约15.6亿分之一的情况是如此。(并没有什么卵用)
结论:连续抽到10把及以上R武器的概率实际上真的不高,不应该老出现十几二十几抽抽不到SSR的情况啊
但是还是要强调,连续抽到多个R会在我们的脑中留下更深的印象,然而几把就出SR基本上就一闪而过,会不能避免的放大连续抽到R的印象。
🔑🔑🔑🔑🔑🔑🔑🔑🔑🔑
VI/ 忍界武器抽奖最非的忍忍到底有多非?理论上最非的情况是什么样子的?
从这里,本文基本上就结束了,但是娱乐环节还是不能少的!忍界广大,无所不有……
比如目前我见过最极限的文字情况,连续67无SSR。但是是书面上的,不知是否可靠qwq《忍界最非?》

当然还有实图,这个是66+的终极非酋,这种情况也是非常少⬇️《当SSR的概率超过平常的R概率》

还有一些奇奇怪怪的,咒印非酋~《600勾玉就这¿》

好像跑题了ʕ •ᴥ•ʔ 我们现在来计算一下正好第70发出SSR的概率吧——理论最非!
直接给出来叭!来吧!面对疾风吧!
每抽到一个SSR,概率约0.000 000 173 635 483 924%会在第70发,期望在575 919 148.208个SSR找到一个这样的情况。
我这么说吧。这个概率接近于:某一天,你用维护获得的2个金钥匙抽黄金宝箱,恰好连着抽中了2次SSR!你万分欣喜,为了庆祝随便买了一注福利彩票双色球,结果过几天去兑奖,发现你中了特等奖……😂
(然后,差不多1000w到手了,够你在3v3复活2000w次,惊喜不惊喜,意外不意外?)
🔑🔑🔑🔑🔑🔑🔑🔑🔑🔑
VII/ 玄学对于抽中SSR有任何帮助吗?(肉串、爱疯、笛子警告~)
好的,欢迎回来。在这里我来概括一下——
简单的说,就是著名心理学家斯金纳设计了一个装置:一个封闭的、足够大且舒适的箱子,里面有拉杆、灯泡以及投食口。下拉拉杆会使灯泡亮起💡且在一定条件下会使食物从投食口掉落。这个实验的终极形态就是,下拉拉杆会有一定的概率掉落食物,也许是10%或者低至2%;由与大鼠不知道也无法判断哪次会有食物掉落,就会无限制的按下拉杆,愈加上瘾,真真切切感受到了低成本赌博的乐趣。
不过这并不是重点,斯金纳敏锐的观察到,部分大鼠在实验进行一段时间后会开始在下拉拉杆之前做一种奇奇怪怪的体操,比如原地转圈、蹦跳一定次数,像着了魔似的。是不是隐约看到了你追梦2000龙血的时候,播放自欺欺人之歌,把忍者的武器换成上上签,宝物装满破损战旗,先疯狂捉弄一下神秘商店的UI然后狂点2000龙血按键的状态?是否想到一些神奇的所谓经验,比如“越晒越欧”“非极必反”“果断就会魂水,犹豫就会百鬼“的说法?没事r,彩票界也有“酒后买票更准”“彩票号码运势测定”的说法啊。
再注意到那个灯泡。灯泡对于大鼠来说是一个亮丽而新奇的东西,如果将灯泡稍作修改,做成灯光秀,吸引大鼠的目光会怎么样呢?它会更加卖力地狂拉拉杆,见到灯光秀的时候兴奋地期待一波从天而降的食物。联系一下生活,转盘慢慢停下的指针、彩票开奖时的刮刮乐、游戏里天花烂坠的抽卡动画和示意,各种金光闪闪、特效拉满,无不是为了提升快感——其实在消耗了相应的货币的一瞬间,结果已经用简单的伪随机敲定下来了,剩下的动画操控抽卡者紧张的心情。(我认为忍3在这里做的比较简朴,可以算是游戏界清流hhh)
◊玄学有意义吗?也许有,增加抽卡乐趣。
◊◊玄学是怎么出现的?为了在混乱中找到不存在的规律。
◊◊◊玄学对于中奖有帮助吗?看了这么多,恐怕没有。
◊◊◊◊玄学为什么存在?相信玄学还是科学,是每个人自己的选择。
🔑🔑🔑🔑🔑🔑🔑🔑🔑🔑
文章最后,我想说:平衡心态,理智游戏,切勿因为一时冲动、头脑发热而……(╯°□°)╯︵ ┻━┻
对啦,本文涉及到了大量计算,本人还没有系统学习过编程&概率论,不严谨之处、演算错误、误差难免会有,更希望大家帮我挑错!!如果还有看不懂的忍忍,在下面留言我也会尽量去回答;如果有跟我的意见不同的忍忍,欢迎理性讨论。
看了这么多,也算是辛苦您啦!有什么疑问评论区见~

