A级,S级和SS级鱼的强化并没有什么用的攻略
2023/01/10651 浏览攻略指南
呜呜之前写了SSS级的,被大佬提醒SSS级鱼会比电池值钱,那篇攻略算是废掉了。不过写都写了,刚好顺便用套路算一下A级,S级和SS级鱼情况怎么样,要不要用点电池啥的。
首先看下鱼的情况,依然不考虑金电池,假设每次强化用相同数目的电池
A级 初始10% 失败保护+3% 电池+5% 概率上限100% 第一次强化概率上限60%
S级 初始8% 失败保护+2.5% 电池+2.5% 最多用20个电池,第一次强化上限58%
SS级 初始6% 失败保护+2% 电池+2% 最多用25个电池 第一次强化上限56%
A级:

横坐标是强化的次数,不同的线代表不同的初始的完美概率,显而易见的是,在失败保护的加持下,得到五星完美鱼的概率还是比同等初始概率的SSS级增加了不少

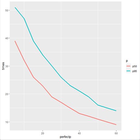
上图即为初始概率和需要的鱼数目的关系,横坐标是完美的概率,纵坐标是强化次数或者用的电池总量,两条线分别表示在50%概率和95%概率获得鱼的消耗量。曲线不平滑可能是抽样次数不够的原因(也许吧),但大致的倾向还是明显的。

概率和强化次数还有消耗电池总量的关系

鱼和电池的消耗量基本是线性关系,每增加一个条鱼可以节约5个电池
按照计算,在5.16*鱼数+电池数>223的时候,比较稳妥(95%概率)能拿到一条五星完美鱼,至于把初始概率堆到多少,好像关系不大,看你鱼和电池的情况。如果是50%的概率拿到,大约是4.16*鱼数+电池数>140。不用电池的话,大约30条鱼。
S级:




关系依然很线性,即需要消耗多少鱼每次用几个电池没太大关系
95%拿到时大约时8.7*鱼数+电池数>437
50%拿到时大约是7.8*鱼数+电池数>227
SS级:同理




95%:9.9*鱼数+电池数>546
50%:8.7*鱼数+电池数>340
总结:(不一定正确)
1、每次用几个电池不存在更划算的问题,看电池总量和鱼总量选择
2、一条A级鱼大约值4~5个电池,一条S级值8个多,一条SS级对应9个多电池
3、如果喜欢稳妥,多用鱼,喜欢冒险,多用电池?

