1月场外壕礼中奖名单
亲爱的各位同学:
《小浣熊百将传》1月场外壕礼活动大部分顺利收工,小浣熊被大家积极参与的热情深深感动,赛场上精彩的拼搏,见证了大家的不懈努力,由衷地为每名同学点赞。
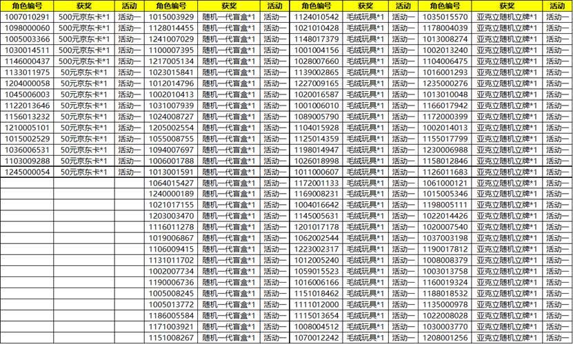
请注意:只有角色ID在以下公布名单内的玩家才需要填写收货信息哦!
今天迎来了激动的时刻,要开始颁奖喽!
1、 点击【场外壕礼中奖名单】链接:
进入文档里查找搜索自己的角色ID查看是否中奖。
2、如确认您的角色ID于中奖名单表格内,点击此链接填写您的信息
【中奖玩家收货地址】:https://www.wjx.cn/vm/rToHR9Z.aspx#
3、请大家于2月13日23:59前确认获奖信息,如未填写或填写错误将视为您主动放弃奖励。
4、截止日过后,未填写地址或地址错误的玩家将不再发货,请同学们抓紧喽,我们会在核对后陆续发货邮寄到您填写的地址,请静候实体周边降临。
奖励公布名单如下:场外壕礼中奖名单
活动一:关卡达标大抽奖

活动二:月度登录有奖抽

活动三:累计登录大抽奖

活动四:收集指定英雄抽奖

活动五:月度投资争福袋

未中奖的同学们不要气馁,小浣熊非常感谢每位好朋友前来支持,活动还在持续进行中,预祝你欧气爆棚,喜中周边~本活动最终解释权归官方运营团队所有。
《小浣熊百将传》运营团队

