【卡牌建模计划】卡牌总数、卡组节奏与强度之间的关系(卡牌总数与卡组节奏的关系篇)
修改于2023/04/05783 浏览综合
前文说过,本篇主要就是重新梳理卡组中卡牌总数与卡组节奏的关系,准确的说,还包括了卡牌总数与核心卡联动之间的关系和一些卡组构筑方面的观点。
这几天(实际是23年1月左右……)闲来无事也看了几篇游戏王和万智牌在这方面的帖子,虽然这俩游戏我都没玩过,但找雷尊咨询了下机制配合网上的一些科普,帖子大致还是看得明白的。
当然,我相信看本帖的各位选手肯定有很多像我一样对这俩游戏不太了解的,这里也是五行师的论坛,我会尽量将其中用得上的东西五行师化。但毕竟这俩游戏我自己也没实际玩过,如有理解不到位的地方还请各位多指教,仅供参考。
首先我会讲一些卡组构筑方面的个人观点:
按照卡组的节奏速度我们可以将其分为快攻、中速和慢速三类卡组,按卡组核心卡情况可以分为核心、系列和均卡三类卡组。
前者的卡组节奏速度很好理解,我就不多赘述了,这里我主要讲一下后面这三类按核心卡情况分类的卡组。
核心卡组:如各类一刀流、三系法、对对这些极度依赖某几张核心单卡锁定胜局的卡组,比如乱心的疯魔、叠翠、乱心,火法里的无敌牛和雷云,对对里的大阵。一旦本局打不出这类核心卡,通常就无法获得胜利。
系列卡组:绝大多数快攻和中速卡组都属于系列卡组,他们确实会有一定数量的核心卡,但依赖性没有核心卡组那么强,往往需要各方搭配才能发挥最优效果。比如土木妖没有斩妖剑和核桃光靠低费生灵也能锤死对面,但压制力不强,而光有装备没有生灵你又很难抢死对面。生灵的可替代性也很强,没有羊力就上个疫鬼,没有百足虫可以下个一费生物再留费给昙花,虎先锋只有打持久战才需要等等。同理金水禁场里童虎确实也是核心卡,但你打三系法上个童虎肯定不如三姐姐吧,打快攻有条件的话也不会上这俩比较亏身材的卡,多是太白、丁卯、牛郎之类的苟住,而且不靠童虎靠其他生灵你也能锤死对面。童虎重要,但没有如上面核心卡组中的单卡那么重要。
均卡卡组:天宫和绝大多数慢速卡组都属于均卡卡组,它们往往没有很明显的核心卡,多是根据当前场面情况而灵活选择打出相应的手段应对。天宫就不谈了,每张卡毕竟都只有一张,找不出核心来。各类八十卡组也都是摸奖一样的盲盒卡组,很难说他们有哪些相比其它卡牌来说极为突出的核心卡。
那么看到这里,你可能会觉得卡牌总数肯定就是和核心卡情况相关了,越是依赖于核心单卡展开的卡组就理应更薄,展开更快。
那这样的话,本篇帖子的标题就该改为卡牌总数与核心卡联动之间的关系了hhhh。
这里我们分别来讲三小点
1. 卡组中单卡的泛用性与所谓核心卡、针对卡的本质
2. 单卡数量、卡牌总数与过牌期望的上手率之间的影响
3. 主轴的概念
首先是第一个,卡组中单卡的泛用性与所谓核心卡、针对卡的本质。
卡组中的每张卡其实都有它的泛用性高低,也就是它们的定位与适用范围不同,超了这个范围它们的收效会很低甚至可能是负面效果。比如混世通常就是打生灵套用的,对面玩个三系法或者熬汤没啥生物,前期裸下个混世就不太合适,甚至还会给对面红袖过牌的机会。
那么核心卡的本质是什么呢?就是这套卡组当中泛用性较高,同时也是对于你获胜最为关键的卡(没说泛用性最高是因为往往还会有上上签、二龙出水这种百搭卡)。但就像前文所讲到的金水禁场中的核心卡童虎,它也有自己的适用范围,超了这个范围就不一定是最优解了。核心卡和其他单卡没有任何本质上的区别,只是它的重要性和泛用程度之高值得它在形式上被单拎出来以此为核心展开构筑(这里指的是非均卡卡组)。
针对卡也很类似,它们也与其他单卡没有任何本质上的区别,只是它的适用范围虽小但在这个范围内收益够高,值得它在形式上被单拎出来以此来弥补、完善卡组中的缺陷。这些针对卡对己方的核心展开往往没有什么较大的帮助,但能很好地阻止敌方的某些特定展开,打断其节奏,获得较高的收益。比如破装卡,对绝大部分己方卡组展开都意义不大,但是你要是不带这个,碰到蒲团跳费的和熬汤的,轻则让敌方顺利跳费,重则直接看对面表演三费大杂烩。
第一点我们明确了每张卡牌都有其适用范围及相应收益。那么如何最大化利用这些卡牌的价值来使得己方收益最大化呢?卡牌想成功使用它至少得上手,同时不满足其费用需求前一般也无法发挥作用,这就引申到了第二点,单卡数量、卡牌总数与过牌期望的上手率之间的影响。
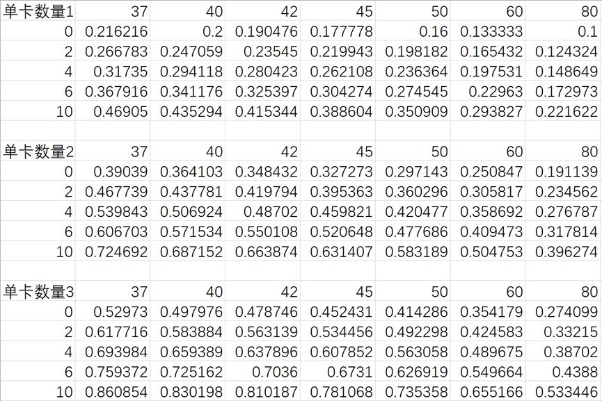
首先,已知卡组中卡牌总数为n,某张单卡数量为k,在过牌期望m内,该单卡的上手率(即至少一张)我们是可以计算出来的,而且也并不难算。
计算方法可见:
而这里我们主要是探讨n、k、m之间的影响,从而分析出比如编1、2、3的卡牌在构筑中承担一个什么样的定位;因所剩针对卡位过少,是选择突破卡牌总数下限40加厚卡组还是选择替换卡组中相对没那么重要的卡等情况。
卡牌总数这个变量我们选择其值域为[37,40,42,45,50,60,80],对应为37极限薄卡组(炼精化气或上上签滤抽)、40常规薄卡组、42微调类卡组(通常就是40加了两张个人习惯卡的卡组)、45偏厚中速(典型代表就是水土)、50厚中速、60资源卡组(如水碧落、天书龙威、常规三系苟)、80均卡卡组(80很难说有什么主流构筑与核心,基本就看个人习惯来)。
单卡数量就是[1,2,3],也没什么好说的,毕竟最多就满编三张。
后续过牌期望我们取[0,2,4,6,10],分别为开局就上手(适用于低费生灵),常规二跳三修回合上手(适用于昙花、骆驼之类前期节奏卡),主流核心卡在前期过一两张牌情况下能按费拍(适用于百鬼之类的四费卡),高费卡在过两三张牌情况下能按费拍(适用于六道、无敌牛、碧落),对局已至中后期的上手率(主要是看不满3的针对卡)。
三个变量,要做一个图的话肯定得是一个三维的,好在单卡数量这里只有三个值,也就是说我们能直接单拎出来单卡数量分别为1、2、3的情况做另外两个变量的二维图。
(取先手换两张的情况,后手换三张整体还会更高一点,过牌期望越多影响越小)
如下:

单卡数量、卡牌总数与过牌期望统计
这体现了一个什么概念呢?
我们可以简单分析出三个结论:
1. 越厚的卡组某张单卡上手率就越低,但随着单卡数量的增加和后续过牌变多,其与薄卡组的上手率差距会逐渐缩小(也很符合我们的直观感受吧?)。
2. 在卡牌总数较为接近的比较中,卡牌上手率受单卡数量影响比受卡牌总数影响更大。比如37卡组单卡数量为2在过牌期望为0时的上手率仅为0.39,甚至不如50卡组单卡数量为3在过牌期望为0时的上手率0.41。
3. 在卡牌总数较为接近的比较中,卡牌上手率受小额过牌期望的影响比受卡牌总数的影响更大。比如37卡组单卡数量为3在过牌期望为0的时候上手率为0.53,45卡组单卡数量为3在过牌期望为2的时候上手率也为0.53。
这具体代表什么我们会结合第三点的主轴来一起讨论。
主轴这个概念来源于游戏王,它主要代指的就是字段卡,用于本家的展开,和我前文所说的核心卡概念差不多。但我这里想提出一个更广义的,范围更大的主轴概念,就是也包含了如二龙出水这种资源卡、截心咒这种反制卡、黄石公这种补费用曲线的生灵等,最终形成的除了针对卡、优质强卡和其他小轴combo之外的最简型构筑,其所有构件都只与达成当前卡组核心顺利展开挂钩,如果不设卡组数量下限,完全可以直接拉出去爬塔的雏形卡组。比如说鬼吏土的主轴基本就是:

鬼吏土主轴
这里的主轴内的卡同定位也并非完全不能替换,但要保证这个定位不能缺。比如神思换成天残、骨爪,但一定需要有这类卡来保证拉资源,小鬼也能换成万劫不复、厉鬼缠身,但也一定要有单解保证开路。
至于移魂大法这种与罗刹能形成配合,但并非必备的算小轴combo,落宝算是针对卡,瘟神、傀儡师、魏判官属于优质强卡,这些卡与鬼吏土的铺场抢血有关但并非不可或缺,都是属于看个人习惯和通天环境带的卡。
鬼吏土是属于节奏偏中速的快攻,主轴已经达到了29张,留给它的小轴、优质强卡和针对卡位还算比较充裕,那如果是本身主轴就已经偏厚,或是可搭配的小轴、优质强卡非常多的卡组呢?
我们以海崖的火三系为例:

火三系(海崖)

火三系(海崖)
(类似的火三系构筑还可见予以和苏迷的,大差不差)
不算落花的常规触发和女娲已经有6张了,瘟神2张,防快攻正常补费用曲线的一二费生灵和百鬼加起来起码也有个8张(后都为最低数量需求),中期补三四五费曲线6张,单解4张,骨爪、神思类资源卡4张,传统火系677和其他系强高费7张,这就已经达到37张的程度,轴外卡位就留的非常少了,这种情况下我们就会纠结于到底是37+3组常规四十,还是37+5这种更厚但针对卡更多的节奏卡组呢?
显然,火三系并非快攻那种极限要求前期低费优质生物连续上手的卡组,它在各个档位都有优质的不亏卡生物,能保证手牌充足的同时给到一定的场面压力。比较突出的节奏点在于三费的女娲和高费的斩杀,节奏上属于手牌比较丝滑的中速生灵卡组。
那么根据我们之前的图表得出来的结论,这类过牌较快、核心卡节奏至少在过牌期望为4这个档的中速卡组,完全是有撑起卡组变厚的资本的。37的女娲上手率在期望4的节点与45卡组一个是0.694一个是0.608,但其他放一两张的针对卡上手率可就是0和0.26甚至0.46的区别,越往后根据场面实际情况成功打出针对卡从而获得更高收益的概率就越高。这也就是为什么要尽量少和八十卡组拖后期的原因,不只是因为牌库数量撑不住,更因为他们在足够的过牌量下能更具有针对性的留牌和使用,以达成更好的后期运营效果。
(实际原卡组的举例是二月份写的,当时我用的是水青帝,那个过牌更多说服力更强一些,可惜给削了,就换成火三系了)
这里我也再把大道三千那个帖子里的例子拉出来:

大道三千——浅谈牌组数量与节奏之间的关系中的例子
到此为止我们解决了是选择37极限还是37+3还是37+5的问题,对于没有核心卡或核心卡的打出期望回合较为靠后、过牌量充足的中慢速卡组,完全可以增加各类通用性上并非最优解,但针对性更强的单卡来武装自己,只要相对平稳地度过了前期,中后期无疑是拥有更强的运营能力的。而对于节奏偏快、过牌较少、核心卡需要确保前期上手率的卡组,比如多数快攻、汤雷、极限水木高等。他们就需要一个前期较高的稳定性,直接一波抢死对面就了事了,不需要中后期额外的运营能力,那么保持在40张的牌库下限无疑是最合适的,如果能有更低,则根据实际情况来,找一个平衡点。
这也就是我认为,牌组数量与牌组节奏之间的关系,数量越多,前期下限越低,中后期上限越高,节奏越慢,反之越快,这是一个对于前期稳定性与中后期运营能力的一个权衡。
(其实这里还有一些上手的牌与修炼、可使用的因素可以研究。但这个会涉及到卡组强度,我会放到第三篇帖子来说。第三篇帖子因为相关代码需要等周四周五摸鱼的时候完善一下,预计本周末才能发出来。)
那么对于环境中可能有x类你想要针对的卡组,你定好了手上有四个针对卡位,这四个针对卡位你要具体怎么分配,详细分析可参考【干货】万智牌中应该4+0还是3+1?。
这个虽然是万智牌的帖子,但是主要分析过程与万智牌机制无关,所用到的知识也只是高中数学和一点简单的本科概率论知识,并不算很难看懂。
也没啥能特别五行师化的东西,我这里也就简单放一下原文结论吧:

4+0还是3+1呢?
剩下的问题就在于……通天环境百花齐放,目前也很难说有非常突出的主流卡组,只能像其结论3一样,尽量分别归类某些特点相似的卡组,加入如破装卡同时针对熬汤和鬼吹这种装备卡组的针对卡,这就很考验各位选手对于环境和自己卡组的掌握程度了0.0
结尾我也再次强调一下,打牌本身就是很随性的事情,每个人的牌组构筑因为自己的个人习惯和通天环境不同都会是有所偏差的。于我个人而言,能将自己心仪的combo发挥出来的卡组就是优秀的卡组。本帖也只是想通过以上这些探讨来给各位五行师在自己的卡组构筑上提供一点理论上的帮助,而实际的调整与测试还得靠各位选手自己动手实践验证下了0.0
好了,本篇帖子水到这里也差不多了,末尾贴一下这段时间我参考的其他万智和游戏王的其他优质帖子传送门吧:
【干货】万智牌中应该4+0还是3+1?(就是上文的这个针对卡位分配问题)
万智牌 | 你需要多少法术力来源才能稳定施放咒语?(图表的思路启发与此,我简化了其对于“稳定释放”的估算,换成了更简单直观的单卡过牌期望内上手率)
游戏王卡组构筑基本理论:卡组的构成元素和卡片投入数量选择(游戏王卡组构筑相关名词解释及基本理论,我参考了它关于系列卡组和均卡卡组的分类)
为何炉石传说、游戏王限制了牌组的数量上限,而万智牌则只限制牌组的数量下限?(关于炉石和万智牌组数量上下限的讨论,比较重要的结论就是炉石的套牌上限是把控游戏时间与节奏的杠杆,万智不设上限是因为法术力资源机制间接定义了一个足够有效的“潜规则”来规范玩家的行为)
游戏王卡组构筑基本理论讲解之浅谈卡组数量,为什么选择40/42/60(游戏王卡组构筑基本理论,42-45卡组观点与本帖基本一致,本帖没写废件的原因是废件这个概念在五行师当中比较少见,类似以前马刑组合的刑天,赌猴套手里的高费生物一样,在牌库里有用,上手多半就是修炼材料了)
【转载】确率理论(游戏王的确率理论,本帖由图表得来的三个结论思路参考于此)
ygo《游戏王》的卡组张数为什么有人说最好是 40,42,60?(各位知乎选手对于游戏王卡组张数的看法)
差不多就这样了。
告辞!

