【枪斗三国】赛季结算分数获取及奖励机制分析(部分更新)
修改于2024/02/026174 浏览攻略
2024/2/2----------------------------
1. 更新了新的分数奖励机制
2. 更新分数结算机制(时间得分与招募亲卫作出改动)
PS1:明天再测血量和金币吧(不是,你怎么变概率掉落了,头秃
)
)PS2:赛季币收益上调 30%,蓝币收益上调 46%(赛季币打满);同时由于时间分数结算机制的改动和招募亲卫分数机制的增加,获取分数效率蹭蹭up;两因素影响下,刷取效率确实有了可观的提升,凉屋你干的好啊
(无贬义)
(无贬义)PS3:但是,爪黄飞电什么时候回调,手感稀烂
;我现在速刷都用大象和孟获了(顺带一提,孟获4个词条3个bug,你们真不修一下
)
;我现在速刷都用大象和孟获了(顺带一提,孟获4个词条3个bug,你们真不修一下
)------------------------------------
2024/2/1----------------------------
不是哥们,你全都改了啊。。。。![[表情_捂脸哭]](https://img-tc.tapimg.com/market/images/83aa452eea88b5c64df710bca367b7e9.png)
![[表情_捂脸哭]](https://img-tc.tapimg.com/market/images/83aa452eea88b5c64df710bca367b7e9.png)
这两天我尽量加班加点把改后的数据算出来吧![[表情_流口水]](https://img-tc.tapimg.com/market/images/f0320a0494447e27b7123a94b6cbcecf.png)
![[表情_流口水]](https://img-tc.tapimg.com/market/images/f0320a0494447e27b7123a94b6cbcecf.png)
------------------------------------
写在开头,本人非解包佬,数据 不一定正确,请辩证看待![[表情_微笑]](https://img-tc.tapimg.com/market/images/0f170d4b1ecf80c267e5a44b5992a199.png)
![[表情_微笑]](https://img-tc.tapimg.com/market/images/0f170d4b1ecf80c267e5a44b5992a199.png)
若有错误之处可以评论提出,我会及时修改![[表情_开心]](https://img-tc.tapimg.com/market/images/48516f625646b5ea2c66f0cab3c9c52a.png)
![[表情_开心]](https://img-tc.tapimg.com/market/images/48516f625646b5ea2c66f0cab3c9c52a.png)
同时,本贴暂时只进行了数据处理的工作,至于这些数据有什么用,其实我也不太清楚,咳咳咳![[表情_斜眼笑]](https://img-tc.tapimg.com/market/images/d1b1dcc88719f6c9a639728cde152c4b.png)
![[表情_斜眼笑]](https://img-tc.tapimg.com/market/images/d1b1dcc88719f6c9a639728cde152c4b.png)
反正有需要的人自取,转载标明出处![[表情_微笑]](https://img-tc.tapimg.com/market/images/0f170d4b1ecf80c267e5a44b5992a199.png)
![[表情_微笑]](https://img-tc.tapimg.com/market/images/0f170d4b1ecf80c267e5a44b5992a199.png)
![[表情_微笑]](https://img-tc.tapimg.com/market/images/0f170d4b1ecf80c267e5a44b5992a199.png)
![[表情_微笑]](https://img-tc.tapimg.com/market/images/0f170d4b1ecf80c267e5a44b5992a199.png)
---------- 一.分数获取机制 -----------

结算分数各组成部分
经过不一定严谨的测试,对各个部分分数获取机制进行分析![[表情_斜眼笑]](https://img-tc.tapimg.com/market/images/d1b1dcc88719f6c9a639728cde152c4b.png)
![[表情_斜眼笑]](https://img-tc.tapimg.com/market/images/d1b1dcc88719f6c9a639728cde152c4b.png)
1)击败敌兵:击败数 × 2
1.普通小兵(绿兵),精英小兵(红兵),精英将领,首领都参与计数,四者都算一个敌兵单位
2.目前未发现有上限存在
2)击败精英:击败数 × 15
1.仅有精英小兵,精英将领参与计数
2.目前未发现有上限存在
3)击败首领:击败数 × 500
1.仅有首领参与计数
2.上限1500(目前)
4)获取金币:获取量 × 1
1.初始携带的10金币不参与计数
2.花费金币不影响计数
3.各单位击杀收益见第三部分
5)攻占据点:据点数 × 10
1.各据点类型见第三部分(正在统计中![[表情_微笑]](https://img-tc.tapimg.com/market/images/0f170d4b1ecf80c267e5a44b5992a199.png)
![[表情_微笑]](https://img-tc.tapimg.com/market/images/0f170d4b1ecf80c267e5a44b5992a199.png)
![[表情_微笑]](https://img-tc.tapimg.com/market/images/0f170d4b1ecf80c267e5a44b5992a199.png)
![[表情_微笑]](https://img-tc.tapimg.com/market/images/0f170d4b1ecf80c267e5a44b5992a199.png)
6)获取配件:获取配件数 × 10
1.单个配件仅计数一次,多次拾取不重复计数
2.拾取后丢弃的配件仍参与计算
3.武器上拆卸的配件也参与计数,重新装载后计数仍生效
4.未知原因会导致计数丢失
7)获取武器:获取武器数 × 20
1.单个武器仅计数一次,多次拾取不重复计数
2.拾取后丢弃的武器仍参与计算
3.初始武器参与计数
4.未知原因会导致计数丢失
8)招募亲卫:良 150;名 200;神 250
1.仅与携带亲卫品质有关
2.击败关底boss后方可生效,否则为 0
9)生存得分:1000 - (一个与受击次数有关的很奇怪的数列)
1.击败关底boss后方可生效,否则为 0
2.敌方攻击以及陷阱伤害都计算受击次数
3.总之无伤通关就有 1000 分
10)时间得分:1939-2×T(T为总用时,单位 秒/s)
1.击败关底boss后方可生效,否则为 0
2.上限取消,从关卡开始每过 0.5 秒扣 1 分,总分 1940 ,扣完为止
3.该公式存在 ±1 的误差,可能是由于游戏内计时器不取整的原因(不确定)
---------- 二.分数奖励机制 -----------
长话短说,上图上数据![[表情_酷]](https://img-tc.tapimg.com/market/images/edd50e702f508971043f5619f686740e.png)
![[表情_酷]](https://img-tc.tapimg.com/market/images/edd50e702f508971043f5619f686740e.png)
(此处数据全部于 难度5 情况下统计)

分数-蓝币/赛季币/经验(已更新)
经过拟合与验证大概满足如下公式
1)分数(x)-蓝币(y)
这里仅展示赛季币未打满情况下的函数(打满的话即叠加上下方的赛季币函数即可)
同时分数-蓝币函数的系数(即获取效率)相较之前提升了约 16%

赛季币未满(已更新)
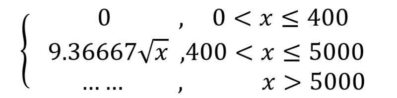
2)分数(x)-赛季币(y)
更新之后,在 5000 分数以内赛季币获取数量有了相当可观的增长,同比增长约 30%(可喜可贺
)
)但是,5000 分之后,拟合赛季币函数的 指数 锐减,且变得跟经验函数一样抽象(我甚至怀疑是不是变成对数函数了
,数据量不够,暂时只能先作罢了)
,数据量不够,暂时只能先作罢了)总之,如果刷取蓝币或赛季币的话不推荐刷取超过 5000 的分数,收益锐减

分数-赛季币(已更新)
3)分数(x)-经验(y)
分数-经验函数一如既往的抽象,目前数据量太少,故先按照 5000 的分隔界线分别粗略拟合(误差大概在 ±1% 左右)
总之,如果刷取经验的话需要分数越高越好
(偷偷说一句,在 5000 分左右测量数据的时候,部分数据出现反常波动(存疑))

分数-经验(已更新)
---------- 三.补充说明 -----------
1)敌军种类(难度5)
1.普通小兵(绿兵)
属性一般为6血1金,但在精英将领据点或城内会出现高血版本(36左右),不过仍作为普通小兵计数

绿矛

绿弓

绿骑

绿法

绿炮
2.精英小兵(红兵)
属性一般为65(左右)血2金,但在精英将领据点或城内会出现高血版本(120左右)

红矛

红弓

红骑

红法
3.精英将领
由于有回血的技能存在故具体血量较难测量,故只有血量的大概范围
170/640(远程) 210/800(近战)(第一层/第二层),但金币掉落量皆为 8/11(第一层/第二层)

张绣

胡轸

徐荣

王方

李儒
4.首领
金币掉落量固定为44,首领血量为2150左右(无士气加成)

华雄

李傕
第二层首领由于回血技能的存在较难测量准确值,大约在7650左右(无士气加成),但金币掉落量固定也为44

董卓
其他数据正在随缘测量中

